Foram encontradas 773 questões.
No projeto de um painel supervisório do qual faz parte um mostrador com dois displays de sete segmentos operados por varredura, o projetista investiga por que o mostrador exibe o valor 19 em uma situação na qual deveria exibir 15.
Navegando pelo código em C para o microcontrolador que comanda o painel, ele encontra o trecho responsável pela exibição. Nesse trecho, que utiliza funções nomeadas de forma autoexplicativa, ele encontra
Navegando pelo código em C para o microcontrolador que comanda o painel, ele encontra o trecho responsável pela exibição. Nesse trecho, que utiliza funções nomeadas de forma autoexplicativa, ele encontra
Provas
Questão presente nas seguintes provas
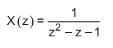
A equação recursiva a seguir gera a sequência causal y(n).

A expressão de y(n) para n ≥ 0 é

A expressão de y(n) para n ≥ 0 é
Provas
Questão presente nas seguintes provas
O modelo em função de transferência de um sistema linear contínuo é dado por

Para esse sistema, foi obtido um modelo equivalente discreto, com zero order hold, usando um período de amostragem de 10 ms. Considere que, para uma entrada degrau unitário, o tempo de acomodação (settling time) da resposta é calculado por
, onde ς é a razão de amortecimento, e ωn é a frequência natural não amortecida do sistema contínuo.
Supondo que o sistema discretizado tenha o mesmo desempenho que o sistema contínuo, aproximadamente, quantas amostras levará o sistema discreto para atingir o estado estacionário, partindo do instante inicial?
Para esse sistema, foi obtido um modelo equivalente discreto, com zero order hold, usando um período de amostragem de 10 ms. Considere que, para uma entrada degrau unitário, o tempo de acomodação (settling time) da resposta é calculado por
Supondo que o sistema discretizado tenha o mesmo desempenho que o sistema contínuo, aproximadamente, quantas amostras levará o sistema discreto para atingir o estado estacionário, partindo do instante inicial?
Provas
Questão presente nas seguintes provas
Um sistema discreto tem como entrada r(n) e saída y(n), que se relacionam pelas equações de diferenças

A função de Transferência do sistema
A função de Transferência do sistema
Provas
Questão presente nas seguintes provas
Considere o enunciado para responder a questão a seguir.

O diagrama em blocos da figura acima mostra uma confi-
guração em malha fechada. Sabe-se que
e K é uma constante positiva.
A Função de Transferência que relaciona Y(s) com R(s) é
O diagrama em blocos da figura acima mostra uma confi-
guração em malha fechada. Sabe-se que
Provas
Questão presente nas seguintes provas
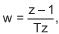
Costuma-se aproximar a variável complexa z, usada em sistemas discretos (digitais), pela variável também complexa w para sistemas contínuos, através da relação de transformação
onde T (real positivo) é o período de amostragem usado na discretização do sinal contínuo.
Sabe-se que a região de estabilidade para sistemas contínuos é o SPE, ou seja, o Semiplano da Esquerda do plano complexo da variável w, que pode ser definida por Re[w] < 0.
O lugar geométrico, no plano da variável z, dos pontos em que Re[w] < 0, é a região interior ao círculo de raio igual a (A) 1 e centro na origem
Sabe-se que a região de estabilidade para sistemas contínuos é o SPE, ou seja, o Semiplano da Esquerda do plano complexo da variável w, que pode ser definida por Re[w] < 0.
O lugar geométrico, no plano da variável z, dos pontos em que Re[w] < 0, é a região interior ao círculo de raio igual a (A) 1 e centro na origem
Provas
Questão presente nas seguintes provas
A famosa sequência de Fibonacci pode ser definida como o sinal x(n), discreto, causal e infinito, cujas primeiras amostras são

A sua lei de formação para
pode ser expressa como 
Aplicando a Transformada Z no sinal x(n), resulta a expressão
A sua lei de formação para
Aplicando a Transformada Z no sinal x(n), resulta a expressão
Provas
Questão presente nas seguintes provas
Um sistema linear é representado em Espaço de Estados pelas equações:

Os polos desse sistema são
Os polos desse sistema são
Provas
Questão presente nas seguintes provas
Considere que x(t) é um sinal que evolui no domínio do tempo de acordo com a equação diferencial linear representada por
, onde
. Considerando
e , a solução dessa equação, válida unicamente para t > 0, é expressa por
Provas
Questão presente nas seguintes provas

Considere z uma variável complexa que se apresenta decomposta na forma z = x + jy, x e y números reais. O gráfico acima mostra o plano complexo e a figura de um círculo centrado em z = 2 e de raio igual a 3.
O lugar geométrico da região sombreada, não incluindo a borda (circunferência), é expresso por
Provas
Questão presente nas seguintes provas
Cadernos
Caderno Container