Foram encontradas 810 questões.
A fluoração da dimetilsulfona [(CH3)2SO2], a 20 ºC, tem como
produto a mistura de três compostos gasosos: (CF3)2SO2,
CF3SO2F e SO2F2. Para testar a separação dos componentes
desse produto, um experimento circulou a mistura gasosa em
3 frascos refrigerados, na ordem descrita a seguir (do 1º ao
3º
), e os compostos obtidos em cada frasco são descritos na
tabela:
Com base nesses dados, uma forma de isolar o SO2F2 dos demais compostos, a partir da mistura à temperatura ambiente, é resfriar a mistura do produto até
Com base nesses dados, uma forma de isolar o SO2F2 dos demais compostos, a partir da mistura à temperatura ambiente, é resfriar a mistura do produto até
Provas
Questão presente nas seguintes provas
Um experimento mediu a constante de velocidade da hidrólise
do composto p-cloro-benzilideno-1,1-dimetiletilamina em
água em diferentes pH. O resultado é mostrado no gráfico.
Com base nesses dados, é correto afirmar que a constante de velocidade da hidrólise apresenta¬¬
Com base nesses dados, é correto afirmar que a constante de velocidade da hidrólise apresenta¬¬
Provas
Questão presente nas seguintes provas
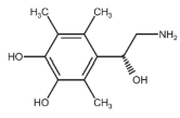
O prefixo nor-, em química orgânica, é usado para denotar a
supressão de um grupo químico em específico em
determinadas moléculas, como exemplificado nas estruturas
mostradas abaixo.
Seguindo essa mesma lógica, dada a estrutura da adrenalina, a estrutura da noradrenalina é dada por:
Seguindo essa mesma lógica, dada a estrutura da adrenalina, a estrutura da noradrenalina é dada por:
Provas
Questão presente nas seguintes provas
O gráfico mostra a concentração das espécies ao longo do
tempo, em uma reação entre íons cério e iodo, em que as
setas representam a direção de crescimento da grandeza de
cada eixo a partir do ponto zero.
No tempo testudo, a equação química balanceada associada a essa reação pode ser corretamente descrita como:
No tempo testudo, a equação química balanceada associada a essa reação pode ser corretamente descrita como:
Provas
Questão presente nas seguintes provas
Observe a estrutura dos 5 ácidos graxos, pertencentes à categoria dos endocanabinóides.

Isômeros estruturais são moléculas com diferentes fórmulas estruturais, mas mesma fórmula molecular. Nesse contexto, sobre o número de isômeros entre os 5 compostos, é correto afirmar que:
Provas
Questão presente nas seguintes provas
A molécula de perfluorodecalina,
mostrada na figura, tem capacidade
muito maior do que a água de dissolver
gases como O2 e CO2, sendo usado em
formulações conhecidas como “sangue
artificial”.
Esse fenômeno pode ser explicado por:
“No sistema água - gases, antes da dissolução, as moléculas de solvente interagem através de (I), consideradas interações fortes; após a dissolução, as moléculas de soluto interagem com as moléculas de solvente através de interações do tipo (II) sendo um processo pouco favorecido. No sistema perfluorodecalina - gases, antes da dissolução, as moléculas do solvente interagem por meio de (III); após a dissolução, as interações soluto-solvente também são interações dispersivas, o que não gera uma variação grande de energia nas interações durante o processo de dissolução. Desse modo, a solubilidade no sistema com perfluorodecalina é maior se comparada ao da água.”
M.M. Junqueira e F.A. Maximiano, Quim. Nova, Vol. 43, No. 1, 106-117, 2020. ADAPTADO.
Os itens (I), (II) e (III), respectivamente, se referem a:
Esse fenômeno pode ser explicado por:
“No sistema água - gases, antes da dissolução, as moléculas de solvente interagem através de (I), consideradas interações fortes; após a dissolução, as moléculas de soluto interagem com as moléculas de solvente através de interações do tipo (II) sendo um processo pouco favorecido. No sistema perfluorodecalina - gases, antes da dissolução, as moléculas do solvente interagem por meio de (III); após a dissolução, as interações soluto-solvente também são interações dispersivas, o que não gera uma variação grande de energia nas interações durante o processo de dissolução. Desse modo, a solubilidade no sistema com perfluorodecalina é maior se comparada ao da água.”
M.M. Junqueira e F.A. Maximiano, Quim. Nova, Vol. 43, No. 1, 106-117, 2020. ADAPTADO.
Os itens (I), (II) e (III), respectivamente, se referem a:
Provas
Questão presente nas seguintes provas
Fosfatidiletanol (PEth) é uma biomolécula formada no corpo
humano pera reação entre etanol ingerido e fosfatidilcolina
presente no organismo, sendo um bioindicador de consumo
de bebidas alcoólicas mesmo alguns dias após esse
consumo.
A avaliação do teor de PEth, após 3 dias do consumo de álcool, é utilizado por alguns estudos para classificar a condição dos indivíduos quanto ao consumo de bebidas alcoólicas, conforme tabela a seguir:
O protocolo para determinação desse composto no sangue por cromatografia usa de uma alíquota de 200μL de sangue humano ao qual se adiciona 1,0 mL de solvente orgânico, resultando numa solução final diluída X vezes em relação à amostra original
Considerando que, para determinado indivíduo, a solução final foi quantificada como tendo 25 ng.ml-1 de PEth, a alternativa que indica adequadamente o valor de X e a condição do indivíduo é:
A avaliação do teor de PEth, após 3 dias do consumo de álcool, é utilizado por alguns estudos para classificar a condição dos indivíduos quanto ao consumo de bebidas alcoólicas, conforme tabela a seguir:
O protocolo para determinação desse composto no sangue por cromatografia usa de uma alíquota de 200μL de sangue humano ao qual se adiciona 1,0 mL de solvente orgânico, resultando numa solução final diluída X vezes em relação à amostra original
Considerando que, para determinado indivíduo, a solução final foi quantificada como tendo 25 ng.ml-1 de PEth, a alternativa que indica adequadamente o valor de X e a condição do indivíduo é:
Provas
Questão presente nas seguintes provas
Um sistema hidráulico, cujo volume de controle está limitado
na imagem a seguir, possui a vazão mássica conhecida de mA = 5 kg/s:
Medições indicam que são retirados 5,4 m3 /h pelo tudo B e mais 7,2 m3 /h pelo tubo C. Para que o sistema esteja trabalhando no estado estacionado, qual deve ser a vazão mássica estimada para mD, considerando que o fluido de trabalho é a água, cuja densidade pode ser aproximada para d = 1?
Medições indicam que são retirados 5,4 m3 /h pelo tudo B e mais 7,2 m3 /h pelo tubo C. Para que o sistema esteja trabalhando no estado estacionado, qual deve ser a vazão mássica estimada para mD, considerando que o fluido de trabalho é a água, cuja densidade pode ser aproximada para d = 1?
Provas
Questão presente nas seguintes provas
Um evento aleatório foi analisado e realizado uma série de
medições. Sabendo que a distribuição dos resultados se
apresenta na forma de uma gaussiana, com uma boa
repetibilidade nos dados. Assinale a alternativa que apresenta
o melhor gráfico para a representações destas medições.
Provas
Questão presente nas seguintes provas
O reservatório A possui uma pressão interna de 200 kPA e
encontra-se elevado a uma altura de 5 metros. Este
reservatório está conectado via tubulação ao reservatório B,
1,5 metros abaixo de A, conforme a representação na figura a
seguir:
A parte central da tubulação é preenchida com um líquido “L”, e o restante é água. Qual é a pressão registrada no manômetro acoplado ao reservatório B?
Note e adote: γH20 = 10.000 N/mm3 γL = 9.000 N/mm3
A parte central da tubulação é preenchida com um líquido “L”, e o restante é água. Qual é a pressão registrada no manômetro acoplado ao reservatório B?
Note e adote: γH20 = 10.000 N/mm3 γL = 9.000 N/mm3
Provas
Questão presente nas seguintes provas
Cadernos
Caderno Container