Foram encontradas 80 questões.
As primeiras práticas de agricultura datam de, aproximadamente, 10.000 anos. Neste período, ocorreram inúmeras transformações na sua base técnica, mas é, no decorrer da segunda metade do século XX, que a revolução agrícola contemporânea, fundada na elevada motorização mecanização, na seleção de variedades de plantas e de raças de animais e na ampla utilização de corretores de pH dos solos, de fertilizantes, de ração animal e de insumos químicos para as plantas e para os animais domésticos, progrediu vigorosamente nos países desenvolvidos e em alguns setores limitados dos países subdesenvolvidos.
Marcel Mazoyer & Laurence Roudart. História das agriculturas no mundo: do neolítico à crise contemporânea, São Paulo: Unesp; Brasília: NEAD, 2010. Adaptado.
As transformações ocorridas na agricultura após meados do século XX foram reconhecidas como revolução verde, sobre a qual se pode afirmar:
Provas
Questão presente nas seguintes provas
Países europeus, como França e Alemanha, têm valorizado, principalmente nas duas últimas décadas, o estabelecimento da menor distância possível entre as áreas de produção agrícola e de consumo, o que se denomina circuito curto. Na França, o circuito curto é reconhecido por integrar, no máximo, um intermediário entre o produtor e o consumidor, quando não se trata de venda direta. No Brasil, ainda que não haja uma definição oficial, o circuito curto é identificado pela proximidade entre produtor e consumidor.
Moacir R. Darolt et al. A diversidade dos circuitos curtos de alimentos ecológicos: ensinamentos do caso brasileiro e francês. Agriculturas, v.10, n.2. Adaptado.
Considere a definição apresentada e analise as três afirmações:
I. A proximidade entre área de produção agrícola e de consumo pode contribuir para a redução da emissão de !$ CO_2 !$.
II. O objetivo fundamental do circuito curto é a ampliação da lucratividade das grandes indústrias alimentícias, com ganhos advindos da redução dos custos de transporte.
III. Com o circuito curto, são geradas novas relações sociais, pelas quais se pode atingir o preço justo das mercadorias, tanto para o consumidor como para o produtor.
Está correto apenas o que se afirma em
Provas
Questão presente nas seguintes provas
Na figura, A e B representam duas placas metálicas; a diferença de potencial entre elas é !$ V_B – V_A = 2,0 x 10^4 V !$. As linhas tracejadas 1 e 2 representam duas possíveis trajetórias de um elétron, no plano da figura.
Considere a carga do elétron igual a !$ - 1,6 x 10^{-19} !$ Ce as seguintes afirmações com relação à energia cinética de um elétron que sai do ponto X na placa A e atinge a placa B:
I. Se o elétron tiver velocidade inicial nula, sua energia cinética, ao atingir a placa B, será !$ 3,2 \times 10^{-15} !$ J.
II. A variação da energia cinética do elétron é a mesma, independentemente de ele ter percorrido as trajetórias 1 ou 2.
III. O trabalho realizado pela força elétrica sobre o elétron na trajetória 2 é maior do que o realizado sobre o elétron na trajetória 1.
Apenas é correto o que se afirma em
Provas
Questão presente nas seguintes provas
Doze pontos são assinalados sobre quatro segmentos de reta de forma que três pontos sobre três segmentos distintos nunca são colineares, como na figura.

O número de triângulos distintos que podem ser desenhados com os vértices nos pontos assinalados é
Provas
Questão presente nas seguintes provas
O projeto para um balanço de corda única de um parque de diversões exige que a corda do brinquedo tenha um comprimento de 2,0 m. O projetista tem que escolher a corda adequada para o balanço, a partir de cinco ofertas disponíveis no mercado, cada uma delas com distintas tensões de ruptura. A tabela apresenta essas opções.
Ele tem também que incluir no projeto uma margem de segurança; esse fator de segurança é tipicamente 7, ou seja, o balanço deverá suportar cargas sete vezes a tensão no ponto mais baixo da trajetória. Admitindo que uma pessoa de 60 kg, ao se balançar, parta do repouso, de uma altura de 1,2 m em relação à posição de equilíbrio do balanço, as cordas que poderiam ser adequadas para o projeto são
Provas
Questão presente nas seguintes provas
Neste texto, o autor descreve o fascínio que as descobertas em Química exerciam sobre ele, durante sua infância.
Eu adorava Química em parte por ela ser uma ciência de transformações, de inúmeros compostos baseados em algumas dúzias de elementos, eles próprios fixos, invariáveis e eternos. A noção de estabilidade e de invariabilidade dos elementos era psicologicamente crucial para mim, pois eu os via como pontos fixos, como âncoras em um mundo instável. Mas agora, com a radioatividade, chegavam transformações das mais incríveis.
(...)
A radioatividade não alterava as realidades da Química ou a noção de elementos; não abalava a ideia de sua estabilidade e identidade. O que ela fazia era aludir a duas esferas no átomo – uma esfera relativamente superficial e acessível, que governava a reatividade e a combinação química, e uma esfera mais profunda, inacessível a todos os agentes químicos e físicos usuais e suas energias relativamente pequenas, onde qualquer mudança produzia uma alteração fundamental de identidade.
Oliver Sacks, Tio Tungstênio: Memórias de uma infância química.
De acordo com o autor,
Provas
Questão presente nas seguintes provas
A levedura Saccharomyces cerevisiae pode obter energia na ausência de oxigênio, de acordo com a equação
!$ C_6H_{12}O_6 \rightarrow 2 CO_2 + 2 CH_3CH_2OH + 2 ATP. !$
Produtos desse processo são utilizados na indústria de alimentos e bebidas. Esse processo ocorre _____________ da levedura e seus produtos são utilizados na produção de _____________.
As lacunas dessa frase devem ser preenchidas por:
Provas
Questão presente nas seguintes provas
No mundo virtual, milhões de pessoas falam, compram, compartilham dados e se reúnem para tratar dos mais variados assuntos.
Nas figuras, os números mostram a movimentação média, em 1minuto, de algumas das principais empresas e ferramentas de internet nos anos de 2015 e 2017.


Sobre a internet e os números mostrados nas figuras, é correto afirmar:
Provas
Questão presente nas seguintes provas
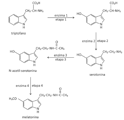
O hormônio melatonina é responsável pela sensação de sonolência. Em nosso organismo, a concentração de melatonina começa a aumentar ao anoitecer, atinge o máximo no meio da noite e decresce com a luz do dia. A melatonina é sintetizada a partir do aminoácido triptofano, em quatro etapas catalisadas por diferentes enzimas, sendo que a enzima 3 é degradada em presença de luz.
Considere as seguintes afirmações a respeito desse processo:
I. Na etapa 2, há perda de dióxido de carbono e, na etapa 3, a serotonina é transformada em uma amida.
II. A manipulação de objetos que emitem luz, como celulares e tablets, pode interromper ou tornar muito lento o processo de transformação da serotonina em N-acetil serotonina.
III. O aumento da concentração de triptofano na corrente sanguínea pode fazer com que a pessoa adormeça mais lentamente ao anoitecer.
É correto o que se afirma em
Provas
Questão presente nas seguintes provas
Um método largamente aplicado para evitar a corrosão em estruturas de aço enterradas no solo, como tanques e dutos, é a proteção catódica com um metal de sacrifício. Esse método consiste em conectar a estrutura a ser protegida, por meio de um fio condutor, a uma barra de um metal diferente e mais facilmente oxidável, que, com o passar do tempo, vai sendo corroído até que seja necessária sua substituição.
Um experimento para identificar quais metais podem ser utilizados como metal de sacrifício consiste na adição de um pedaço de metal a diferentes soluções contendo sais de outros metais, conforme ilustrado, e cujos resultados são mostrados na tabela. O símbolo ( + ) indica que foi observada uma reação química e o ( - ) indica que não se observou qualquer reação química.
Da análise desses resultados, conclui-se que pode(m) ser utilizado(s) como metal(is) de sacrifício para tanques de aço:
Provas
Questão presente nas seguintes provas
Cadernos
Caderno Container