Foram encontradas 302 questões.
Preencha as lacunas abaixo.
Motores de ________ trifásicos possuem limite máximo de ______ r.p.m. e número de pólos ___. Para velocidades abaixo, tais como 1800 r.p.m., o número de pólos é ___. O número de pólos define a ________ do motor de indução. Esses motores nunca podem girar em velocidade ______. Deve haver uma velocidade relativa entre o campo girante e a velocidade do rotor para que haja indução de campo no rotor. A diferença entre as duas velocidades é conhecida como velocidade de ____________.
Provas
Questão presente nas seguintes provas
No Microsoft Word, o recurso de Macros tem por objetivo:
Provas
Questão presente nas seguintes provas
A utilização social do sistema linguístico permite a diversificação da linguagem. A essa diversidade dá-se o nome de variação linguística. A partir dessas informações, observe o diálogo abaixo.
X – Por favor, obsequioso e dileto auxiliar, receio que olvidei alguns documentos dentro do ônibus, na passada noite, e gostaria de reavê-los agora. Poderias procurá-los para esse pressuroso e preocupado amigo?
Y – Beleza, cara! Vô dá uma procurada e se achá alguma coisa já te falo aí.
I. A linguagem utilizada por X, embora correta e adequada às normas do português padrão, não é a mais indicada para um contexto informal e coloquial, haja vista que nem todos os seus interlocutores poderão compreendê-lo adequadamente.
II. A fala de Y é inculta e errônea, pois está marcada por gírias e é excessivamente coloquial. Não deve ser utilizada em hipótese alguma em nenhuma situação.
III. Percebe-se, pela linguagem utilizada no diálogo, que a língua sofre variação de acordo com o sujeito e o contexto de fala.
Assinale a alternativa CORRETA:
Provas
Questão presente nas seguintes provas
NUMA CIDADE AVANÇADA, RICOS USAM O
TRANSPORTE PÚBLICO
TRANSPORTE PÚBLICO
A única forma de reduzir os congestionamentos é restringir o uso do carro. Para Enrique Peñalosa, prefeito de Bogotá de 1998 a 2001 e responsável por iniciar a implantação do Transmilênio, sistema de ônibus rápido, nenhum transporte público resolve o problema do trânsito se os carros não forem retirados das ruas. Em São Paulo para o Urban Age, conferência internacional sobre urbanismo que acabou ontem, Penãlosa, que hoje atua como consultor, falou à Folha sobre a importância de uma boa calçada e de um transporte público eficiente e disse que a cadeira de rodas é a melhor máquina de planejamento urbano.
FOLHA - O que faz uma boa cidade?
ENRIQUE PEÑALOSA - Jan Gehl [urbanista dinamarquês que defende que as cidades priorizem ciclistas e pedestres] diz que é aquela em que os moradores têm vontade de sair de casa, estar nas ruas — não no shopping. Uma cidade tem de ser boa para as pessoas mais vulneráveis: crianças, cadeirantes, idosos, pobres, ciclistas. Transporte não faz ninguém feliz, é apenas necessário, como água potável. Mas se há um parque, isso faz as pessoas felizes. O desafio é criar a cidade para as pessoas, e
não para os carros.
não para os carros.
(...)
FOLHA - O que caracteriza uma cidade avançada?
PEÑALOSA - Temos uma idéia de que progresso é ter mais pessoas usando carros, mas nas cidades mais avançadas do mundo, como Zurique, na Suíça, ou Tóquio, no Japão, as pessoas quase não usam automóvel. Uma cidade verdadeiramente avançada é aquela em que os ricos usam transporte público, caminham e vão a parques. O contrário disso é quando os ricos usam helicópteros, vão a clubes fechados, a shoppings, moram em condomínios.
(...)
FOLHA - Como fazer isso?
PEÑALOSA - Há varias maneiras de se fazer isso. O rodízio é uma delas. Nenhum transporte público do mundo acaba com os congestionamentos. A única maneira é restringir o uso de carros. Tem de haver restrições a estacionamentos, sobretudo nas ruas. Outra forma é criar uma taxa, como em Londres, ou rodízio, como em SP e Bogotá.
(...)
FOLHA – (O carro) É uma questão cultural?
PEÑALOSA - Sim. A classe média, que tem carro, só quer mais espaço para os carros. Vão do estacionamento do prédio ao estacionamento do escritório, ao estacionamento do shopping, ao estacionamento do clube e podem passar meses sem andar em um quarteirão. A única coisa que querem do governo é polícia e rodovias. Querem metrô não para usar, mas porque querem que os ônibus vão para o subsolo. Não querem que o ônibus tire o espaço dos carros.
Folha de S. Paulo, publicado em 06/12/2008.
Acesso em 28/03/2009: http://www1.folha.uol.com.br/fsp/cotidian/ff0612200834.htm
A partir da leitura do trecho da entrevista, NÃO se pode concluir que:
Provas
Questão presente nas seguintes provas
Os equipamentos utilizados no processamento eletrônico de dados com terminais de vídeo devem observar o seguinte:
I. Condições de mobilidade suficientes para permitir o ajuste da tela do equipamento à iluminação do ambiente, protegendo-a contra reflexos e proporcionando corretos ângulos de visibilidade ao trabalhador.
II. O teclado deve ser independente e ter mobilidade, permitindo ao trabalhador ajustá-lo de acordo com as tarefas a serem executadas.
III. A tela, o teclado e o suporte para documentos devem ser colocados de maneira que as distâncias olho-tela, olho-teclado e olho documento sejam aproximadamente iguais.
IV. Estarem posicionados em superfícies de trabalho com altura ajustável.
Assinale as alternativas CORRETAS:
Provas
Questão presente nas seguintes provas
Sobre instalações elétricas em via pública, pode-se afirmar.
I. Os modernos relés de impulso substituem as tomadas elétricas.
II. Potência ou carga instalada é definida pelo número de interruptores e tomadas elétricas.
III. Nas instalações elétricas em geral, os condutores são importantes na função de transportar a energia elétrica necessária para funcionamento dos equipamentos elétricos.
IV. A representação de uma instalação elétrica, ou parte dela, é feita por meio de símbolos gráficos em esquemas unifilar, multifilar e funcional.
Provas
Questão presente nas seguintes provas
Será obrigatória a expedição de novo Certificado de Registro de Veículo quando:
I. For transferida a propriedade.
II. O proprietário mudar o município de domicílio ou residência.
III. For alterada qualquer característica do veículo.
IV. Houver mudança de categoria.
Assinale a alternativa CORRETA:
Provas
Questão presente nas seguintes provas
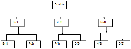
Dada a estrutura do produto abaixo, identifique quantas unidades dos componentes F, G, e H serão necessárias em estoque para um produto cuja demanda é de 12 unidades. No nível superior está o produto. No nível intermediário, estão as partes do produto e, no nível inferior, os componentes das partes. As letras representam os componentes ou partes que compõem o produto, e os números representam quantas unidades do componente ou parte são necessárias para formar um produto ou suas partes.
Provas
Questão presente nas seguintes provas
- Transmissão de DadosMeios de TransmissãoCabeamento FìsicoCabeamento Estruturado
- Transmissão de DadosMeios de TransmissãoCabeamento FìsicoMeio de Transmissão: Par Trançado
Os padrões EIA/TIA 568A e 568B definem as configurações da pinagem utilizada na confecção de cabos UTP.
A respeito deste sistema de cabeamento, é CORRETO afirmar:
Provas
Questão presente nas seguintes provas
Considere o seguinte texto:
Verde Amarelo Branco Azul
Para que ele fique da seguinte forma:

Foram aplicadas quais formatações de fonte, respectivamente:
Provas
Questão presente nas seguintes provas
Cadernos
Caderno Container