Foram encontradas 35 questões.
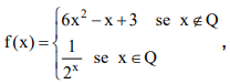
A função f, de domínio real, é dada por
em que Q
representa o conjunto dos números racionais. O número de soluções racionais da
equação f(x) = 4 é:
Provas
Questão presente nas seguintes provas
Uma loja paga aos seus vendedores um salário composto de duas partes: uma fixa e
outra variável. A parte fixa corresponde a R$ 2.000,00 por mês e a parte variável
corresponde a uma comissão de 1,6% sobre os valores mensais das vendas do vendedor.
Dessa forma, o salário mensal de um vendedor dessa loja em função do total em reais
vendido em um mês é:
Provas
Questão presente nas seguintes provas
Seis crianças se reuniram em volta de uma mesa como mostra a figura abaixo.
Cada uma delas escolheu um número mentalmente. Em seguida, cada uma delas falou
o número escolhido, em voz baixa, no ouvido da criança imediatamente à sua direita.
Depois, cada uma delas falou o número escolhido, em voz baixa, no ouvido da criança
imediatamente à sua esquerda. Em um terceiro momento, Augusto, Felipe e Márcia
disseram em voz alta a soma dos dois números falados em seus ouvidos.
Qual foi o número escolhido por Paula?
Qual foi o número escolhido por Paula?
Provas
Questão presente nas seguintes provas
Qual é o volume (V) de um cone circular reto cuja altura (h) é igual ao triplo do seu
diâmetro (d)?
Provas
Questão presente nas seguintes provas
Na figura abaixo, med(AC) = 10 cm, med(BC) = 12 cm e med(DE) = 6 cm. Qual é a área
do quadrilátero DBCE?


Provas
Questão presente nas seguintes provas
O triângulo ABC é retângulo em B. O lado BC mede x e o lado AB mede 3/2 x , sendo x
um número real positivo.

Qual das alternativas abaixo é verdadeira?

Qual das alternativas abaixo é verdadeira?
Provas
Questão presente nas seguintes provas
A média aritmética entre dois números é 13. O produto desses dois números é 120. Ao
subtrair o menor do maior obtém-se:
Provas
Questão presente nas seguintes provas
No plano cartesiano abaixo estão representadas as funções p(x) = ax + b e
h(x) = mx + n. Sabendo que os pontos A, B, C, D, E e F possuem coordenadas inteiras,
qual é o valor de a+n/m-b?


Provas
Questão presente nas seguintes provas
Um avião com velocidade de 650 km/h, faz o percurso entre dois estados em quatro
horas e meia. Quanto tempo gastará esse avião se a sua velocidade for de 500 km/h para
fazer essa mesma viagem?
Provas
Questão presente nas seguintes provas
Alice comprou um carro novo em janeiro de 2019 por R$ 72.000,00. Em janeiro de 2022
ela vendeu esse carro por um valor X. Tomando por base o valor que ela pagou e o valor
que ela vendeu seu carro, Alice calculou que a cada ano de uso o valor de venda do carro
correspondia a 19/20
de seu valor de venda no ano anterior. De acordo com os cálculos de
Alice por qual valor o carro foi vendido por ela?
Provas
Questão presente nas seguintes provas
Cadernos
Caderno Container