Foram encontradas 1.215 questões.
A sequência numérica a seguir foi criada com um padrão
lógico aritmético.
7, 8, 9, 8, 10, 12, 10, 13, 16, 13, 17, 21, 17, 22, 27, 22, 28, 34, …
Seja F o 24º elemento, G o 28º elemento e H o 35º elemento. O resultado da expressão numérica F + G – H é igual a
7, 8, 9, 8, 10, 12, 10, 13, 16, 13, 17, 21, 17, 22, 27, 22, 28, 34, …
Seja F o 24º elemento, G o 28º elemento e H o 35º elemento. O resultado da expressão numérica F + G – H é igual a
Provas
Questão presente nas seguintes provas
O setor de inovação e o de vendas de uma empresa contam, respectivamente, com 15 e 9 funcionários. Com idades menores do que 30 anos, o setor de inovação possui
8 funcionários e o de vendas possui 5.
Para compor a comissão de planejamento estratégico dessa empresa, a diretoria convocará 2 funcionários de cada um desses setores e a escolha será por meio de um sorteio.
A probabilidade de que os 4 sorteados tenham menos do que 30 anos é um valor entre
Para compor a comissão de planejamento estratégico dessa empresa, a diretoria convocará 2 funcionários de cada um desses setores e a escolha será por meio de um sorteio.
A probabilidade de que os 4 sorteados tenham menos do que 30 anos é um valor entre
Provas
Questão presente nas seguintes provas
Considere o triângulo ABC a seguir, que representa o contorno de um terreno cujas medidas são: AB = 130 m; BD = 120 m e BC = 150 m:

Da área total do terreno, 3/8 estão reservados para edificações e 2/5 estão reservados para estacionamentos e calçadas. O restante da área será destinada à jardinagem, que ocupará uma área de
Provas
Questão presente nas seguintes provas
Em 2023, o preço de um produto sofreu um aumento de
8% sobre seu preço original. Em 2024, o mesmo produto
aumentou 15% e terminou o ano a R$ 55,89. A partir dessas informações, é correto afirmar que o preço original
desse produto era
Provas
Questão presente nas seguintes provas
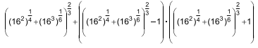
A senha de uma porta com fechadura eletrônica é o número resultante do cálculo da expressão:

A senha dessa fechadura é um valor que pertence ao intervalo de números entre
Provas
Questão presente nas seguintes provas
Uma obra corresponde uma criação autoral, podendo ser inédita ou não, mas, quando ela é muito similar de outro autor, considera-se que há plágio, crime
sujeito punições severas, como prisão, caso se
conclua que o suposto autor infringiu lei.
As lacunas do texto são preenchidas, correta e respectivamente, por:
As lacunas do texto são preenchidas, correta e respectivamente, por:
Provas
Questão presente nas seguintes provas
Leia o texto a seguir para responder à questão:
Jean Cocteau aconselhava aos jovens escritores que
fizessem a seguinte invocação: livrai-me, Senhor, de escrever o livro esperado.
Na verdade, o livro esperado é uma tentação muito
veemente. Há um estilo esperado, há um ritmo esperado,
há imagens esperadas, adjetivos esperados. Há sobretudo ideias, sentimentos e emoções ansiosamente esperados. Em resumo, quer nos círculos em que os best-sellers
triunfam, quer nas rodas intelectuais mais requintadas, há,
em cada época, um conjunto de necessidades ideais ou
estilísticas que configuram as obras antes que elas sejam
escritas. Escrevê-las, o que é um certo modo plagiá-las, é
tornar-se imediatamente um contemporâneo. O contemporâneo não precisa entregar-se ao hábito de pensar: tudo
está pensado para ele. Não precisa encontrar a sua forma,
o seu estilo: ambos estão feitos. O contemporâneo, entretanto, é um ser de excepcional habilidade: tem um invejável
faro, um instinto apurado. Ele equaciona o seu problema
pessoal nos seguintes termos: produzir a obra que não seja
uma cópia de outra qualquer, mas que obtenha resultados
idênticos àqueles conseguidos por este ou aquele livro já
consagrado manifestamente.
Outra questão se coloca diante do contemporâneo:
para acertar mais de cheio no alvo, ele deve distinguir o
seu público. E ele o escolhe entre a meia dúzia de grupos
que reconhece, separadamente, a meia dúzia de escritores
mais expressivos ou mais aclamados. Em outras palavras,
o contemporâneo visa penetrar clandestinamente numa
freguesia alheia, obtendo para si um pouco dos aplausos
que um escritor mais antigo monopoliza totalmente. Sendo esperto, ele consegue imediatamente atrair a simpatia
de um grupo, um grupo inexoravelmente convicto de suas
ideias morais, estéticas e políticas.
(Paulo Mendes Campos, “Os contemporâneos”, 27.10.1946. Disponível em:
https://cronicabrasileira.org.br. Adaptado)
Provas
Questão presente nas seguintes provas
Leia o texto a seguir para responder à questão:
Jean Cocteau aconselhava aos jovens escritores que
fizessem a seguinte invocação: livrai-me, Senhor, de escrever o livro esperado.
Na verdade, o livro esperado é uma tentação muito
veemente. Há um estilo esperado, há um ritmo esperado,
há imagens esperadas, adjetivos esperados. Há sobretudo ideias, sentimentos e emoções ansiosamente esperados. Em resumo, quer nos círculos em que os best-sellers
triunfam, quer nas rodas intelectuais mais requintadas, há,
em cada época, um conjunto de necessidades ideais ou
estilísticas que configuram as obras antes que elas sejam
escritas. Escrevê-las, o que é um certo modo plagiá-las, é
tornar-se imediatamente um contemporâneo. O contemporâneo não precisa entregar-se ao hábito de pensar: tudo
está pensado para ele. Não precisa encontrar a sua forma,
o seu estilo: ambos estão feitos. O contemporâneo, entretanto, é um ser de excepcional habilidade: tem um invejável
faro, um instinto apurado. Ele equaciona o seu problema
pessoal nos seguintes termos: produzir a obra que não seja
uma cópia de outra qualquer, mas que obtenha resultados
idênticos àqueles conseguidos por este ou aquele livro já
consagrado manifestamente.
Outra questão se coloca diante do contemporâneo:
para acertar mais de cheio no alvo, ele deve distinguir o
seu público. E ele o escolhe entre a meia dúzia de grupos
que reconhece, separadamente, a meia dúzia de escritores
mais expressivos ou mais aclamados. Em outras palavras,
o contemporâneo visa penetrar clandestinamente numa
freguesia alheia, obtendo para si um pouco dos aplausos
que um escritor mais antigo monopoliza totalmente. Sendo esperto, ele consegue imediatamente atrair a simpatia
de um grupo, um grupo inexoravelmente convicto de suas
ideias morais, estéticas e políticas.
(Paulo Mendes Campos, “Os contemporâneos”, 27.10.1946. Disponível em:
https://cronicabrasileira.org.br. Adaptado)
Provas
Questão presente nas seguintes provas
Leia o texto a seguir para responder à questão:
Jean Cocteau aconselhava aos jovens escritores que
fizessem a seguinte invocação: livrai-me, Senhor, de escrever o livro esperado.
Na verdade, o livro esperado é uma tentação muito
veemente. Há um estilo esperado, há um ritmo esperado,
há imagens esperadas, adjetivos esperados. Há sobretudo ideias, sentimentos e emoções ansiosamente esperados. Em resumo, quer nos círculos em que os best-sellers
triunfam, quer nas rodas intelectuais mais requintadas, há,
em cada época, um conjunto de necessidades ideais ou
estilísticas que configuram as obras antes que elas sejam
escritas. Escrevê-las, o que é um certo modo plagiá-las, é
tornar-se imediatamente um contemporâneo. O contemporâneo não precisa entregar-se ao hábito de pensar: tudo
está pensado para ele. Não precisa encontrar a sua forma,
o seu estilo: ambos estão feitos. O contemporâneo, entretanto, é um ser de excepcional habilidade: tem um invejável
faro, um instinto apurado. Ele equaciona o seu problema
pessoal nos seguintes termos: produzir a obra que não seja
uma cópia de outra qualquer, mas que obtenha resultados
idênticos àqueles conseguidos por este ou aquele livro já
consagrado manifestamente.
Outra questão se coloca diante do contemporâneo:
para acertar mais de cheio no alvo, ele deve distinguir o
seu público. E ele o escolhe entre a meia dúzia de grupos
que reconhece, separadamente, a meia dúzia de escritores
mais expressivos ou mais aclamados. Em outras palavras,
o contemporâneo visa penetrar clandestinamente numa
freguesia alheia, obtendo para si um pouco dos aplausos
que um escritor mais antigo monopoliza totalmente. Sendo esperto, ele consegue imediatamente atrair a simpatia
de um grupo, um grupo inexoravelmente convicto de suas
ideias morais, estéticas e políticas.
(Paulo Mendes Campos, “Os contemporâneos”, 27.10.1946. Disponível em:
https://cronicabrasileira.org.br. Adaptado)
Provas
Questão presente nas seguintes provas
Está em conformidade com a norma-padrão de regência
verbal e nominal a frase:
Provas
Questão presente nas seguintes provas
Cadernos
Caderno Container