Foram encontradas 90 questões.
Em um trecho de uma instalação elétrica, três resistores ôhmicos idênticos e de resistência 80 Ω cada um são ligados como representado na figura. Por uma questão de segurança, a maior potência que cada um deles pode dissipar, separadamente, é de 20 W.

Dessa forma, considerando desprezíveis as resistências dos fios de ligação entre eles, a máxima diferença de potencial, em volts, que pode ser estabelecida entre os pontos A e B do circuito, sem que haja riscos, é igual a
Provas
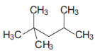
Analise a fórmula que representa a estrutura do iso-octano, um derivado de petróleo componente da gasolina.

De acordo com a fórmula analisada, é correto afirmar que o iso-octano
Provas
Os colonos que emigram, recebendo dinheiro adiantado, tornam-se, pois, desde o começo, uma simples propriedade de Vergueiro & Cia. E em virtude do espírito de ganância, para não dizer mais, que anima numerosos senhores de escravos, e também da ausência de direitos em que costumam viver esses colonos na província de São Paulo, só lhes resta conformarem-se com a ideia de que são tratados como simples mercadorias ou como escravos.
(Thomas Davatz. Memórias de um colono no Brasil (1850), 1941.)
O texto aponta problemas enfrentados por imigrantes europeus que vieram ao Brasil para
Provas
A imagem mostra o primeiro avião do mundo movido a etanol (C2H5OH), o avião agrícola Ipanema, de fabricação brasileira.

Considere que a velocidade de cruzeiro dessa aeronave seja 220 km/h, que o consumo de combustível nessa velocidade seja 100 L/h, que cada litro de combustível contenha 0,8 kg de C2H5OH e que a combustão seja completa.
Em um percurso de 110 km, à velocidade de cruzeiro constante, a massa de dióxido de carbono lançada ao ar devido à combustão, em kg, é próxima de
Provas
Leia o texto para responder a questão.
Disparity in life spans of the rich and the poor is growing
Sabrina Tavernise
February 12, 2016

Patients at the Free Clinic in Newton, N.J. Researchers
debate whether expanding access to health care will shrink the
gap in life expectancy between the rich and the poor.
Experts have long known that rich people generally live longer than poor people. But a growing body of data shows a more disturbing pattern: Despite big advances in medicine, technology and education, the longevity gap between high-income and low-income Americans has been widening sharply.
The poor are losing ground not only in income, but also in years of life, the most basic measure of well-being. In the early 1970s, a 60-year-old man in the top half of the earnings ladder could expect to live 1.2 years longer than a man of the same age in the bottom half, according to an analysis by the Social Security Administration. Fast-forward to 2001, and he could expect to live 5.8 years longer than his poorer counterpart.
New research released this month contains even more jarring numbers. Looking at the extreme ends of the income spectrum, economists at the Brookings Institution found that for men born in 1920, there was a six-year difference in life expectancy between the top 10 percent of earners and the bottom 10 percent. For men born in 1950, that difference had more than doubled, to 14 years. For women, the gap grew to 13 years, from 4.7 years. “There has been this huge spreading out,” said Gary Burtless, one of the authors of the study.
The growing chasm is alarming policy makers, and has surfaced in the presidential campaign. During a Democratic debate, Senator Bernie Sanders and Hillary Clinton expressed concern over shortening life spans for some Americans. “This may be the next frontier of the inequality discussion,” said Peter Orszag, a former Obama administration official now at Citigroup, who was among the first to highlight the pattern. The causes are still being investigated, but public health researchers say that deep declines in smoking among the affluent and educated may partly explain the difference.
Overall, according to the Brookings study, life expectancy for the bottom 10 percent of wage earners improved by just 3 percent for men born in 1950 compared with those born in 1920. For the top 10 percent, though, it jumped by about 28 percent. (The researchers used a common measure – life expectancy at age 50 – and included data from 1984 to 2012.)
(www.nytimes.com. Adaptado.)
No trecho do segundo parágrafo “not only in income, but also in years of life”, a expressão “not only … but also” indica
Provas
Os autores deste movimento pregavam a simplicidade, quer nos temas de suas composições, quer como sistema de vida: aplaudindo os que, na Antiguidade e na Renascença, fugiam ao burburinho citadino para se isolar nas vilas, pregavam a “áurea mediocridade”, a dourada mediania existencial, transcorrida sem sobressaltos, sem paixões ou desejos. Regressar à Natureza, fundir-se nela, contemplar-lhe a quietude permanente, buscar as verdades que lhe são imanentes – em suma, perseguir a naturalidade como filosofia de vida.
(Massaud Moisés. Dicionário de termos literários, 2004. Adaptado.)
O comentário do crítico Massaud Moisés refere-se ao seguinte movimento literário:
Provas
Nas células ocorrem reações químicas para a síntese de moléculas orgânicas necessárias à própria célula e ao organismo. A figura mostra a reação química de formação de uma estrutura molecular maior a partir da união de três outras moléculas menores.

(Jane B. Reece et al. Campbell biology, 2011. Adaptado.)
Esta reação química ocorre no interior da célula durante a
Provas
Leia o texto para responder a questão.
Prova da barbárie e, para alguns, da natureza não humana do ameríndio, a antropofagia condenava as tribos que a praticavam a sofrer pelas armas portuguesas a “guerra justa”.
Nesse contexto, um dos autores renascentistas que escreveram sobre o Brasil, o calvinista francês Jean de Léry, morador do atual Rio de Janeiro na segunda metade da década de 1550 e quase vítima dos massacres do Dia de São Bartolomeu (24.08.1572), ponto alto das guerras de religião na França, compara a violência dos tupinambás com a dos católicos franceses que naquele dia fatídico trucidaram e, em alguns casos, devoraram seus compatriotas protestantes:
“E o que vimos na França (durante o São Bartolomeu)? Sou francês e pesa-me dizê-lo. O fígado e o coração e outras partes do corpo de alguns indivíduos não foram comidos por furiosos assassinos de que se horrorizam os infernos? Não é preciso ir à América, nem mesmo sair de nosso país, para ver coisas tão monstruosas”.
(Luís Felipe Alencastro. “Canibalismo deu pretexto para escravizar”. Folha de S.Paulo, 12.10.1991. Adaptado.)
O conceito de “guerra justa” foi empregado, durante a colonização portuguesa do Brasil, para
Provas
Os testes de qualidade de água realizados nos rios atingidos pela lama proveniente do rompimento da barragem de uma mineradora, em Mariana (MG), identificaram metais pesados em proporções fora dos parâmetros permitidos. Nessas águas, os metais identificados em maior quantidade foram o ferro e o manganês, mas alguns testes também apontaram grande quantidade de mercúrio.
(http://epoca.globo.com. Adaptado.)
Assinale a alternativa que apresenta um impacto ambiental esperado decorrente da presença de metais pesados nas águas dos rios atingidos.
Provas
Um filhote de cachorro cochila dentro de uma semiesfera de plástico de raio 10 cm, a qual flutua em uma piscina de águas paradas, totalmente submersa e em equilíbrio, sem que a água entre nela.

Desprezando a massa da semiesfera, considerando a densidade da água da piscina igual a 103 kg/m3, g = 10 m/s2, !$ \pi !$ = 3 e sabendo que o volume de uma esfera de raio R é dado pela expressão !$ V=\large{4. \pi . R^3 \over 3} !$, é correto afirmar que a massa do cachorro, em kg, é igual a
Provas
Caderno Container