Foram encontradas 90 questões.
How can consumers find out if a corporation is “greenwashing” environmentally unsavory practices?
June 29, 2013
Another involves what Greenpeace calls “ad bluster”: using targeted advertising or public relations to exaggerate a green achievement so as to divert attention from actual environmental problems – or spending more money bragging about green behavior than on actual deeds. In some cases, companies may boast about corporate green commitments while lobbying behind the scenes against environmental laws.
In essence, greenwashing involves falsely conveying to consumers that a given product, service, company or institution factors environmental responsibility into its offerings and/or operations. CorpWatch, a non-profit organization dedicated to keeping tabs on the social responsibility (or lack thereof) of U.S.-based companies, characterizes greenwashing as “the phenomena of socially and environmentally destructive corporations, attempting to preserve and expand their markets or power by posing as friends of the environment.”
One of the groups leading the charge against greenwashing is Greenpeace. “Corporations are falling all over themselves,” reports the group, “to demonstrate that they are environmentally conscious. The average citizen is finding it more and more difficult to tell the difference between those companies genuinely dedicated to making a difference and those that are using a green curtain to conceal dark motives.”
Greenpeace launched its Stop Greenwash campaign in 2009 to call out bad actors and help consumers make better choices. The most common greenwashing strategy, the group says, is when a company touts an environmental program or product while its core business is inherently polluting or unsustainable.
Another involves what Greenpeace calls “ad bluster”: using targeted advertising or public relations to exaggerate a green achievement so as to divert attention from actual environmental problems – or spending more money bragging about green behavior than on actual deeds. In some cases, companies may boast about corporate green commitments while lobbying behind the scenes against environmental laws.
Greenpeace also urges vigilance about green claims that brag about something the law already requires: “For example, if an industry or company has been forced to change a product, clean up its pollution or protect an endangered species, then uses Public Relations campaigns to make such action look proactive or voluntary.”
For consumers, the best way to avoid getting “greenwashed” is to be educated about who is truly green and who is just trying to look that way to make more money. Look beyond advertising claims, read ingredient lists or ask employees about the real information on their company’s environmental commitment. Also, look for labels that show if a given offering has been inspected by a reliable third-party. For example, the U.S. Department of Agriculture’s Certified Organic label can only go on products that meet the federal government’s organic standard. Just because a label says “made with organic ingredients” or “all-natural” does not mean the product qualifies as Certified Organic, so be sure to look beyond the hype.
(www.scientificamerican.com. Adaptado.)
No trecho final do último parágrafo – “all-natural” does not mean the product qualifies as Certified Organic, so be sure to look beyond the hype. –, a conjunção so pode ser substituída, sem alteração de sentido, por
Provas
Questão presente nas seguintes provas
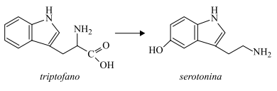
Segundo a Organização Mundial da Saúde (OMS), atualmente cerca de 5% da população mundial sofre de depressão. Uma das substâncias envolvidas nesses distúrbios é o neurotransmissor serotonina, produzido no metabolismo humano a partir do triptofano. O processo metabólico responsável pela formação de serotonina envolve a reação química global representada pela equação não balanceada fornecida a seguir

A reação de conversão de triptofano em serotonina ocorre em duas etapas metabólicas distintas. Com relação a essas duas substâncias e ao processo metabólico em que elas estão envolvidas, é correto afirmar que
Provas
Questão presente nas seguintes provas
A ema (Rhea americana), o avestruz (Struthio camelus) e o emu (Dromaius novaehollandiae) são aves que não voam e que compartilham entre si um ancestral comum mais recente que aquele que compartilham com outros grupos de aves. Essas três espécies ocupam hábitats semelhantes, contudo apresentam área de distribuição bastante distinta. A ema ocorre no sul da América do Sul, o avestruz é africano e o emu ocorre na Austrália.

Segundo a explicação mais plausível da biologia moderna, a distribuição geográfica dessas aves é consequência da
Provas
Questão presente nas seguintes provas
O que era impressão virou estatística: a cidade de São Paulo está cada dia mais lenta. Quem mostra é a própria CET (Companhia de Engenharia de Tráfego), que concluiu um estudo anual sobre o trânsito paulistano.
Os dados de 2012 apontam que a velocidade média nos principais corredores viários da cidade foi de 22,1 km/h no pico da manhã e de 18,5 km/h no pico da tarde. Uma piora de 5% e 10% em relação a 2008, respectivamente.

Caso a velocidade média do trânsito nos principais corredores viários paulistanos continue decaindo nos mesmos percentuais pelos próximos anos e sabendo que ln 2 ≈ 0,69, ln 3 ≈ 1,10, ln 5 ≈ 1,61 e ln 19 ≈ 2,94, os anos aproximados em que as velocidades médias nos picos da manhã e da tarde chegarão à metade daquelas observadas em 2012 serão, respectivamente,
Provas
Questão presente nas seguintes provas
Desde o final do século 20, toda a engrenagem industrial do mercado musical passa por intensas transformações, como o surgimento e disseminação de novas tecnologias, em grande parte gratuitas, como os arquivos MP3s, as redes de compartilhamento destes arquivos, mecanismos torrents, sites de armazenamento de conteúdo, ferramentas de publicação on-line — tudo à disposição de quem quisesse dividir com os outros suas canções e discos favoritos. A era pósindustrial atingiu toda a indústria do entretenimento, mas o braço da música foi quem mais sofreu, especialmente as grandes gravadoras multinacionais, as chamadas majors, que sofreram um declínio em todas as etapas de seu antigo negócio, ao mesmo tempo em que rapidamente se aperfeiçoavam ferramentas baratas e caseiras de produção que diminuíam a distância entre amadores e profissionais.
A era digital é também chamada de pós-industrial porque confronta o modelo de produção que dominava até o final do século 20. Esse modelo industrial é baseado na repetição, em formatar e embalar. Por trás disso, a ideia é obter a máxima produção — o que, para produtos em geral, funciona muito bem. Quando esses parâmetros são aplicados à arte, a venda do produto (por exemplo, o disco) depende do conteúdo (a canção). A canção que vai resultar nessa “produção máxima” é buscada por meio de um equilíbrio entre criatividade e uma fórmula de sucesso que desperte o interesse do público. Como estudos ainda não conseguiram decifrar como direcionar a criatividade de uma maneira que certamente despertará esse interesse (e maximizará a produção), a opção normalmente costuma ser pela solução mais simples.
“Cada um tem descoberto suas fórmulas e possibilidades, pois tudo tende a ser cada vez menos homogêneo”, opina o baiano Lucas Santtana, que realizou seus discos recentes às próprias custas.“Claro que ainda existe uma distância em relação aos artistas chamados mainstream”, continua. “Mas você muda o tamanho da escala e já está tudo igual em termos de business. A pergunta é se essa geração faz uma música para esse grande mercado ou se ela está formando um novo público. Outra pergunta é se o grande mercado na verdade não passa de uma imposição de uma máfia que dita o que vai ser popular.”
(Galileu, março de 2013. Adaptado.)
No primeiro parágrafo, o termo tudo, por sua relação sintática e semântica com a sequência que o precede, representa
Provas
Questão presente nas seguintes provas
A figura mostra uma antiga área de cultivo em processo de recuperação ambiental.

Já os gráficos representam alterações que ocorrem nessa área durante o processo de recuperação.

Durante o processo de sucessão secundária da área, em direção ao estabelecimento de uma comunidade clímax florestal, os gráficos que representam o número de espécies de gramíneas, a biomassa, o número de espécies de arbustos e a diversidade de espécies são, respectivamente,
Provas
Questão presente nas seguintes provas

A charge é de 1979, ano em que João Figueiredo assumiu a Presidência da República. Sua dúvida em relação à roupa é uma alusão
Provas
Questão presente nas seguintes provas
Em 2013 comemora-se o centenário do modelo atômico proposto pelo físico dinamarquês Niels Bohr para o átomo de hidrogênio, o qual incorporou o conceito de quantização da energia, possibilitando a explicação de algumas propriedades observadas experimentalmente. Embora o modelo atômico atual seja diferente, em muitos aspectos, daquele proposto por Bohr, a incorporação do conceito de quantização foi fundamental para o seu desenvolvimento. Com respeito ao modelo atômico para o átomo de hidrogênio proposto por Bohr em 1913, é correto afirmar que
Provas
Questão presente nas seguintes provas
How can consumers find out if a corporation is “greenwashing” environmentally unsavory practices?
June 29, 2013
Another involves what Greenpeace calls “ad bluster”: using targeted advertising or public relations to exaggerate a green achievement so as to divert attention from actual environmental problems – or spending more money bragging about green behavior than on actual deeds. In some cases, companies may boast about corporate green commitments while lobbying behind the scenes against environmental laws.
In essence, greenwashing involves falsely conveying to consumers that a given product, service, company or institution factors environmental responsibility into its offerings and/or operations. CorpWatch, a non-profit organization dedicated to keeping tabs on the social responsibility (or lack thereof) of U.S.-based companies, characterizes greenwashing as “the phenomena of socially and environmentally destructive corporations, attempting to preserve and expand their markets or power by posing as friends of the environment.”
One of the groups leading the charge against greenwashing is Greenpeace. “Corporations are falling all over themselves,” reports the group, “to demonstrate that they are environmentally conscious. The average citizen is finding it more and more difficult to tell the difference between those companies genuinely dedicated to making a difference and those that are using a green curtain to conceal dark motives.”
Greenpeace launched its Stop Greenwash campaign in 2009 to call out bad actors and help consumers make better choices. The most common greenwashing strategy, the group says, is when a company touts an environmental program or product while its core business is inherently polluting or unsustainable.
Another involves what Greenpeace calls “ad bluster”: using targeted advertising or public relations to exaggerate a green achievement so as to divert attention from actual environmental problems – or spending more money bragging about green behavior than on actual deeds. In some cases, companies may boast about corporate green commitments while lobbying behind the scenes against environmental laws.
Greenpeace also urges vigilance about green claims that brag about something the law already requires: “For example, if an industry or company has been forced to change a product, clean up its pollution or protect an endangered species, then uses Public Relations campaigns to make such action look proactive or voluntary.”
For consumers, the best way to avoid getting “greenwashed” is to be educated about who is truly green and who is just trying to look that way to make more money. Look beyond advertising claims, read ingredient lists or ask employees about the real information on their company’s environmental commitment. Also, look for labels that show if a given offering has been inspected by a reliable third-party. For example, the U.S. Department of Agriculture’s Certified Organic label can only go on products that meet the federal government’s organic standard. Just because a label says “made with organic ingredients” or “all-natural” does not mean the product qualifies as Certified Organic, so be sure to look beyond the hype.
(www.scientificamerican.com. Adaptado.)
O objetivo do texto é
Provas
Questão presente nas seguintes provas
Examine a tira.

No segundo quadrinho da tira, a expressão that sort of thing refere-se a
Provas
Questão presente nas seguintes provas
Cadernos
Caderno Container