Foram encontradas 720 questões.
A respeito dos conversores de potência, máquinas
elétricas e dos acionamentos e comandos elétricos,
analise as seguintes afirmativas.
I. A taxa de distorção harmônica (TDH) de um sinal é definida como a relação entre o valor eficaz de seus componentes harmônicos e o valor eficaz da fundamental. II. Para qualquer que seja a forma de onda de um sinal elétrico, o fator de potência (FP) é a relação entre a potência ativa e a potência aparente em uma carga. III. É inerente à ação de circuitos retificadores com carga reativa a geração de harmônicas de tensão ou corrente na rede de alimentação. IV. O FP é sempre igual cos
, em que
é o ângulo de
defasagem entre as componentes fundamentais
da tensão e da corrente na carga.
Estão corretas as afirmativas:
I. A taxa de distorção harmônica (TDH) de um sinal é definida como a relação entre o valor eficaz de seus componentes harmônicos e o valor eficaz da fundamental. II. Para qualquer que seja a forma de onda de um sinal elétrico, o fator de potência (FP) é a relação entre a potência ativa e a potência aparente em uma carga. III. É inerente à ação de circuitos retificadores com carga reativa a geração de harmônicas de tensão ou corrente na rede de alimentação. IV. O FP é sempre igual cos
Estão corretas as afirmativas:
Provas
Questão presente nas seguintes provas
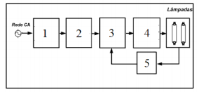
A figura a seguir apresenta os dados de um reator
eletrônico moderno para lâmpadas fluorescentes T5.

Observe o diagrama de blocos do tipo de reator apresentado anteriormente, considerando que os blocos numerados identificam as funções de controle, filtro ressonante, filtro EMI, inversor e retificador.
As funções que identificam os blocos de 1 a 5, nessa ordem, são:

Observe o diagrama de blocos do tipo de reator apresentado anteriormente, considerando que os blocos numerados identificam as funções de controle, filtro ressonante, filtro EMI, inversor e retificador.

As funções que identificam os blocos de 1 a 5, nessa ordem, são:
Provas
Questão presente nas seguintes provas
Observe a tabela, a seguir, que apresenta características
de alguns diodos semicondutores comerciais, que
ilustram os tipos caracterizados como de uso geral,
schottky, rápido e ultrarrápido.

Analisando esses dados, é correto afirmar que os diodos MUR5010, MBR1100, 1N4005 e 1N3901 são, respectivamente, do tipo:

Analisando esses dados, é correto afirmar que os diodos MUR5010, MBR1100, 1N4005 e 1N3901 são, respectivamente, do tipo:
Provas
Questão presente nas seguintes provas
Analise as afirmativas sobre retificadores controlados.
I. Usada na alimentação de motores CC, uma
ponte monofásica totalmente controlada
permite a operação em 4 quadrantes no plano
tensão/corrente.
II. Uma ponte monofásica semicontrolada pode ser
obtida com apenas dois tiristores.
III. O diodo de roda-livre é usado para prover um
caminho para a corrente em carga indutiva
quando a tensão se torna negativa e o sistema
não permite regeneração de energia.
IV. Um retificador 3
totalmente controlado requer
seis tiristores, sendo dois por fase.
Estão corretas as afirmativas:
Provas
Questão presente nas seguintes provas
Analise o gráfico que apresenta o diagrama de Bode de um filtro. A escala horizontal é de frequência.

Com base nesse gráfico, avalie as afirmativas a seguir. I. O diagrama representa um filtro passa-faixa. II. As frequências de corte são 200 Hz e 5 KHz, aproximadamente. III. Em 1 KHz, a atenuação é máxima. IV. Em 100 KHz, o sinal de saída tem a mesma amplitude do sinal de entrada. Estão corretas as afirmativas:

Com base nesse gráfico, avalie as afirmativas a seguir. I. O diagrama representa um filtro passa-faixa. II. As frequências de corte são 200 Hz e 5 KHz, aproximadamente. III. Em 1 KHz, a atenuação é máxima. IV. Em 100 KHz, o sinal de saída tem a mesma amplitude do sinal de entrada. Estão corretas as afirmativas:
Provas
Questão presente nas seguintes provas
São características de um amplificador operacional
ideal, EXCETO:
Provas
Questão presente nas seguintes provas
O ângulo de condução dos diodos de um retificador
trifásico de onda completa não controlado com carga
resistiva é igual a:
Provas
Questão presente nas seguintes provas
- EletrotécnicaCircuitos Lógicos e Álgebra Booleana em Eletrotécnica
- EletrônicaEletrônica Digital em Eletroeletrônica
Considere a função lógica S1=((A(AB)’)’.((AB)’B)’)’ dada.
Aplicando-se a álgebra de Boole, encontra-se a função
equivalente:
Provas
Questão presente nas seguintes provas
Analise as afirmações a respeito de circuitos
combinatórios e sequenciais digitais.
I. A saída atual de um circuito combinacional
depende exclusivamente dos estados atuais de
suas entradas.
II. Tanto os circuitos combinatórios quanto os
sequenciais contêm elementos de memória.
III. A saída atual de um circuito sequencial depende
dos estados atuais de suas entradas e também
de estados passados delas.
IV. O flip-flop RS elementar é o elemento básico de
construção dos circuitos combinatórios.
Estão corretas as afirmativas:
Provas
Questão presente nas seguintes provas
- EletrônicaComponentes Eletrônicos em Eletroeletrônica
- EletrônicaEquipamentos Elétricos em Eletroeletrônica
Alguns cristais apresentam a propriedade de vibrarem
em resposta à aplicação de um sinal alternado, assim
como a de gerarem uma fem quando submetidos a um
esforço mecânico.
Tal propriedade corresponde ao princípio de
funcionamento do seguinte transdutor:
Provas
Questão presente nas seguintes provas
Cadernos
Caderno Container