Foram encontradas 640 questões.
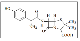
O Controle de Qualidade (CQ) da matéria-prima é uma atividade que deve fazer parte da rotina dos estabelecimentos que manipulam e/ou fabricam produtos farmacêuticos. Como farmacêutico responsável pelo CQ da seguinte matéria-prima e com base em conhecimentos farmacoquímicos e farmacológicos, informe se é verdadeiro (V) ou falso (F) o que se afirma a seguir e assinale a alternativa com a sequência correta.

( ) No teste de solubilidade, a substância apresentada é pouco solúvel em água, álcool etílico e álcool metílico.
( ) O teste de resíduo por incineração, determinado em 1 g de amostra, deve apresentar valor máximo de 1%.
( ) Essa matéria-prima representa a estrutura química de um antibacteriano, conhecido por azitromicina.
( ) A matéria-prima pertence ao grupo dos antibióticos penicilânicos.
Provas
O farmacêutico e os demais inscritos no Conselho Regional de Farmácia (CRF) são profissionais da saúde, cumprindo-lhes executar todas as atividades inerentes ao seu âmbito profissional, de modo a contribuir para a salvaguarda da população. Referente ao Código de Processo Ético Farmacêutico, assinale a alternativa correta.
Provas
Mulher de 30 anos, sofrendo de artrite reumatoide, estava sendo tratada com ibuprofeno 400 mg de 6 em 6 horas. Ela estava com gastrite e uma amiga lhe deu 4 comprimidos contendo 200 mcg de misoprostol, dizendo que esse remédio era efetivo contra gastrite. No dia 10/05/1989, essa paciente compareceu à emergência de uma maternidade da cidade vizinha com hemorragia, referindo estar grávida há três meses e que não realizava o acompanhamento pré-natal por morar em área rural, longe do posto de saúde. Diante desse caso, como farmacêutico, é correto afirmar que
Provas
Sobre a farmacovigilância, informe se é verdadeiro (V) ou falso (F) o que se afirma a seguir e assinale a alternativa com a sequência correta.
( ) O evento adverso caracteriza-se pela suspeita de relação causal entre o medicamento e a resposta prejudicial ou indesejável.
( ) A notificação solicitada se refere àquela derivada de sistemas organizados de coleta de dados que incluem: ensaios clínicos, registros, programas de pós-aprovação denominados de uso do paciente e outros programas de apoio ao paciente.
( ) Os detentores de registro de medicamento são responsáveis pelas ações de farmacovigilância relacionadas aos seus produtos.
( ) O Notivisa é o sistema disponibilizado pela ANVISA para o monitoramento de eventos adversos relacionados a medicamentos e vacinas.
Provas
Os problemas de saúde mental são um dos principais desafios de saúde. De acordo com a Organização Mundial da Saúde (OMS), a pandemia da Covid-19 criou uma crise de saúde mental em todo o mundo. A estimativa é que os casos de ansiedade e de depressão aumentaram em torno de 25%, ao passo que muitas iniciativas de tratamento foram interrompidas. O lítio pode ser usado para tratamento de mania, transtorno bipolar e hiperatividade psicomotora. Na farmácia, a dispensação de comprimidos contendo 300 mg de carbonato de lítio está condicionada à
Provas
Um farmacêutico recebeu uma prescrição médica contendo a formulação apresentada a seguir, sendo que o prescritor solicitou a preparação de 60 g (p/p) de gel contendo peróxido de benzoíla. Com base nos conhecimentos farmacotécnicos e considerando a quantidade solicitada pelo prescritor, assinale a alternativa INCORRETA.
Peróxido de benzoíla | 6,0% |
Glicerina | 3,0% |
Acetona | 3,0% |
Gel de carbopol q.s.p | 100,0% |
Provas
São exemplos de fármacos de ação no trato gastrintestinal que não necessitam de estudos de biodisponibilidade relativa/bioequivalência, EXCETO
Provas
Em relação à prestação de serviços em farmácias, assinale a alternativa INCORRETA acerca dos requisitos sobre a realização de Exames de Análises Clínicas (EAC).
Provas
Como técnico de tecnologia da informação da Universidade Federal de Sergipe, você precisa explicar os principais modelos de serviços em nuvem, incluindo o IaaS, a um grupo de docentes e discentes. Qual das seguintes alternativas descreve corretamente o modelo de serviço IaaS em cloud computing?
Provas
Segundo o Código de Ética e Deontologia do Bibliotecário, são deveres do profissional de Biblioteconomia:
I. observar os ditames da ciência e da técnica;
II. assinar trabalhos ou quaisquer documentos executados por terceiros, ou elaborados por leigos, alheios a sua orientação, supervisão e fiscalização;
III. guardar sigilo no desempenho de suas atividades, quando o assunto assim exigir;
IV. combater o exercício ilegal da profissão, conforme a legislação em vigor;
V. permitir a utilização de seu nome e de seu registro à instituição pública ou privada na qual não exerça, efetivamente, função inerente à profissão.
Estão corretos:
Provas
Caderno Container