Foram encontradas 1.008 questões.
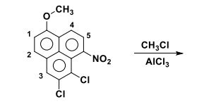
Os compostos aromáticos podem ser alquilados através da reação de alquilação de Friedel-Crafts, que pode ser classificada como uma reação de substituição eletrofílica. A posição preferencial da alquilação depende dos grupos substituintes presentes no composto aromático. Considere o esquema reacional abaixo:

Na alquilação proposta acima, o grupo metil entrará preferencialmente na posição assinalada com:
Provas
- LegislaçãoDiretrizes Curriculares NacionaisDiretrizes Curriculares Nacionais para a Educação Escolar Quilombola
Nas universidades federais e nas instituições federais de ensino técnico de nível médio, no caso de não preenchimento das vagas dentro dos critérios estabelecidos, essas vagas remanescentes para o ingresso deverão ser destinadas, primeiramente, aos autodeclarados pretos, pardos, indígenas quilombolas ou a pessoas com deficiência e, posteriormente, completadas por estudantes que tenham:
Provas
Segundo a NBR 13753/1996, que trata de revestimento de piso interno e externo com placas cerâmicas e com a utilização de argamassa colante, analise as afirmativas abaixo.
1) O contrapiso ou piso morto é a camada de argamassa sobre a qual são assentados os revestimentos cerâmicos com argamassa colante.
2) O tardoz é a face da placa cerâmica que fica em contato com a argamassa colante.
3) O assentamento de placas cerâmicas com área igual ou maior que 900cm² deve ser feito aplicando-se argamassa colante apenas no contrapiso, não sendo necessária a aplicação de argamassa no tardoz das placas cerâmicas.
4) As argamassas devem ser aplicadas sempre dentro do prazo de início de pega do cimento empregado, prazo esse que é da ordem de 2,5 h.
Estão corretas, apenas:
Provas
O acetato de pentila é o componente da essência artificial de banana que dá o odor característico da fruta. Normalmente, esse éster pode ser sintetizado com formação de subproduto(s) a partir da reação em uma etapa de um “Reagente A” com o álcool pentílico, sob condições adequadas, conforme o esquema abaixo:

Considerando o esquema da reação acima, qual substância NÃO poderia ser utilizada como o “Reagente A”?
Provas
As instituições federais de educação superior vinculadas ao Ministério da Educação reservarão, em cada concurso seletivo para ingresso nos cursos de graduação, por curso e turno, no mínimo, 50% (cinquenta por cento) de suas vagas para estudantes que tenham cursado integralmente o ensino médio em:
1) escolas públicas.
2) escolas filantrópicas conveniadas com o poder público.
3) escolas confessionais localizadas na zona rural e urbana.
4) escolas comunitárias que atuam no âmbito da educação do campo, conveniadas com o poder público.
Estão corretas:
Provas
Nas reações orgânicas, compostos contendo a função amina são frequentemente utilizados como bases. O caráter básico é justificado pela presença de um par de elétrons não ligante no átomo de nitrogênio. Quanto mais disponível estiver esse par, maior será o caráter básico da amina. Considerando os efeitos de ressonância, identifique entre os compostos abaixo (todos contendo a função amina), aquele com caráter básico mais acentuado.
Provas
Um programa de melhoramento vegetal é desenvolvido em etapas a depender do método empregado. Entre os métodos empregados, um tem como vantagens: fácil condução, fornece máxima variância genética entre linhagens na população final, pode ser conduzido fora da região de adaptação e atinge rapidamente o nível de homozigose desejado. Assinale a alternativa que indica o método de melhoramento supracitado.
Provas
Considere as diretrizes da NBR 6118/2024 para o dimensionamento de furos em vigas de concreto. Assinale a alternativa correta sobre a restrição ao projetar furos em vigas de concreto para passagem de tubulações verticais.
Provas
Segundo a NBR 6118, a agressividade do meio ambiente está relacionada às ações físicas e químicas que atuam sobre as estruturas de concreto, independentemente das ações mecânicas, das variações volumétricas de origem térmica, da retração hidráulica e outras previstas no dimensionamento das estruturas. Considerando que o Campus da UFRPE está situado em um ambiente urbano, selecione a alternativa que indica, respectivamente, a classe de agressividade ambiental, o grau de agressividade e o risco de deterioração da estrutura para o ambiente onde a universidade está localizada.
Provas
A avaliação institucional deve ser um ponto de encontro entre os dados provenientes da avaliação dos estudantes, realizada pelos docentes, e a avaliação realizada pelo sistema, pois ambas têm como foco:
Provas
Caderno Container