Magna Concursos

Foram encontradas 50 questões.

1010974 Ano: 2019
Disciplina: Direito Administrativo
Banca: UFRN
Orgão: UFRN
O Regime Jurídico dos Servidores Públicos Civis da União (Lei nº 8.112/90) elenca um rol de benefícios a que faz jus o servidor, bem como os seus dependentes, desde que preenchidos os requisitos legais. Nos termos da referida lei, são benefícios previstos no plano de seguridade social, quanto ao servidor:
 

Provas

Questão presente nas seguintes provas
1010973 Ano: 2019
Disciplina: Direito Administrativo
Banca: UFRN
Orgão: UFRN
O auxílio-natalidade é devido ao servidor por motivo de nascimento de filho, em quantia equivalente ao menor vencimento do serviço público, inclusive no caso de natimorto. Consideradas as normas previstas no Regime Jurídico dos Servidores Públicos Civis da União (Lei nº 8.112/90), na hipótese de parto múltiplo, o valor do auxílio -natalidade será acrescido de
 

Provas

Questão presente nas seguintes provas
1010972 Ano: 2019
Disciplina: Direito Administrativo
Banca: UFRN
Orgão: UFRN
Um servidor público lotado na Universidade Federal do Rio Grande do Norte foi afastado por motivo de sua prisão preventiva decretada pela autoridade competente. De acordo com o que estabelecem as normas expressas na Lei nº 8.112/90, enquanto perdurar essa prisão preventiva, à família do servidor é devido o Auxílio-Reclusão, no valor correspondente a
 

Provas

Questão presente nas seguintes provas
1010944 Ano: 2019
Disciplina: Direito Administrativo
Banca: UFRN
Orgão: UFRN

Considerando as disposições expressas na Lei nº 9.784, de 29 de janeiro de 1999, a qual regula o processo administrativo no âmbito da Administração Pública Federal, analise as afirmativas abaixo.

I A edição de atos de caráter normativo pode ser objeto de delegação.

II O desatendimento da intimação importa o reconhecimento da verdade dos fatos, bem como a renúncia a direito pelo administrado.

III O processo administrativo pode iniciar-se de ofício ou a pedido de interessado.

IV Atuação segundo padrões éticos de probidade, decoro e boa-fé é critério que deve ser observado nos processos administrativos.

Das afirmativas, estão corretas

 

Provas

Questão presente nas seguintes provas
1010943 Ano: 2019
Disciplina: Direito Administrativo
Banca: UFRN
Orgão: UFRN
A lei que regula o processo administrativo no âmbito da Administração Pública Federal (Lei nº 9.784/99) estabelece um rol de direitos que os administrados têm perante a administração, sem prejuízos de outros que lhe sejam assegurados. Conforme prescreve a referida lei, o administrado tem o direito de
 

Provas

Questão presente nas seguintes provas
1010942 Ano: 2019
Disciplina: Direito Administrativo
Banca: UFRN
Orgão: UFRN

Tendo como base as disposições expressas na Lei nº 9.784, de 29 de janeiro de 1999, a qual regula o processo administrativo no âmbito da Administração Pública Federal, analise as afirmativas abaixo.

I Os atos de instrução que exijam a atuação dos interessados devem realizar-se do modo menos oneroso para estes.

II Encerrada a instrução, o interessado terá o direito de manifestar-se no prazo máximo de cinco dias, salvo se outro prazo for legalmente fixado.

III Em caso de risco iminente, a Administração Pública poderá motivadamente adotar providências acauteladoras sem a prévia manifestação do interessado.

IV Os resultados da consulta e audiência pública e de outros meios de participação de administrados deverão ser apresentados sem a indicação do procedimento adotado.

Das afirmativas, estão corretas

 

Provas

Questão presente nas seguintes provas
1010924 Ano: 2019
Disciplina: Estatística
Banca: UFRN
Orgão: UFRN
Provas:

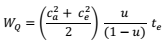
O cadastramento dos candidatos classificados no ENEM é o primeiro passo do processo de inserção dos estudantes nos cursos da universidade. Em situações como essa, é possível aplicar a teoria das filas para garantir um bom atendimento. Suponha que a administração estabelece um único dia para efetivar o cadastro e designa um atendente por curso para receber, conferir os documentos e dar entrada dos dados no sistema. Espera -se uma taxa de chegada de 6 pessoas por hora e que o atendente consiga processar 8 cadastros por hora.

Para simplificar, considere que o sistema é do tipo G/G/1, com tempos exponenciais de chegada e de processamento, coeficiente de variação dos tempos de chegada das pessoas igual a 1, coeficiente de variação do tempo de processamento igual a 1,5 e as fórmulas a seguir:

Fórmula I – Enunciado 1010924-1

Fórmula II – WIP = tempo de ciclo x tempo de atravessamento

Nessas condições, o tempo médio de fila esperado é

 

Provas

Questão presente nas seguintes provas
1010860 Ano: 2019
Disciplina: Português
Banca: UFRN
Orgão: UFRN

Dignidade e paciência

André Bueno

Professor Adjunto da UERJ

Confúcio levanta um problema sério para qualquer buscador da sabedoria: quais os limites da dignidade e da paciência? O mestre, por vezes, suportou ofensas atrozes de man eira inexpugnável; por outras vezes, revoltou-se, de imediato, com certos acontecimentos. Há um padrão para lidar com os problemas sem perder o controle? E, se existe, qual é?

Nos Diálogos de Confúcio (Lunyu), está escrito que os discípulos de Zixia perguntaram a Zizhang sobre as relações sociais. Zizhang disse: "O que Zixia vos disse?" Eles responderam: "Zixia disse: ‘Associai-vos ao tipo certo de pessoas; evitai aquelas que não são do tipo certo’”. Zizhang disse: "Ensinaram-me algo um pouco diferente: um cavalheiro respeita os sábios e tolera os medíocres, louva os bons e tem compaixão pelos incapazes. Se tenho uma vasta sabedoria, quem eu não toleraria? Se não tenho uma vasta sabedoria, as pessoas me evitarão. Com base em que deveria eu evitá-las?".

Em A Justa Medida (Zhong Yong), também se diz: "Se alguém faz dez vezes o que outros fazem uma vez; se faz cem o que outros fazem dez; se faz mil o que outros fazem cem, essa atitude leva à sabedoria". Ambos os trechos mostram que o exercício da paciência e da dignidade são práticas constantes, e seu domínio procede de uma intensa, profunda e dedicada atenção. Elas procedem do desejo de não buscar o conflito desnecessário, de atentar ao conjunto das possibilidades de resolução e de ponderar corretamente, sem fazer concessões levianas ou abandonar o que é correto.

Porém, em situações extremas, não há o que fazer para alterar o curso das coisas: pior, manter - se numa determinada posição pode mesmo significar um envolvimento – ou compromisso – com a causa dos problemas. Nessas situações, é melhor dar as costas ao mundo e seguir adiante. Se não se pode combater o problema frontalmente, e se a arte do indireto não serve para a elucidação daqueles envolvidos no erro, então, pôr-se a caminho não é covardia ou medo – é apenas a constatação de que nada pode ser feito, e a dignidade real consiste em conter-se e ausentar-se do contexto em erro.

No hexagrama 61 do Tratado das Mutações (Yijing), analisa-se a "verdade interior", a autenticidade realizante, derivada da centralidade do indivíduo. A sexta linha, que conclui o hexagrama, traz um comentário interessante: "O galo canta para o céu, mas não voa". Isso significa: podemos denunciar os crimes, mas, se não pudermos voar, se não tivermos o poder e a autoridade para corrigi-los, acabaremos só criando mais problemas. Portanto, nessas horas, por mais certos que estivermos, precisamos nos conter e praticar a paciência com dignidade. Tolerar é uma virtude; comedir-se, uma excelência. A covardia só existe quando alguém pode, de fato, resolver uma questão, mas se ausenta, seja por medo ou por compromisso. Quando alguém desconhece a própria força, deve cuidar-se para não confundir humildade com indulgência perante os erros. A autoridade moral para enfrentar as indignidades é difícil de se obter, e a paciência é confundida com covardia. Mas o buscador da sabedoria deve ter um compromisso, antes de tudo, com o que é apropriado e consigo mesmo, não temendo a reprovação alheia. "Sem princípios comuns é inútil discutir”, afirma Confúcio.


BUENO, André. Dignidade e paciência. Filosofia, ciência e vida. São Paulo: Editora Escala, Ed. 147, fev., 2019. p. 54-55. [Adaptado].

Considere o trecho:

Eles responderam: "Zixia disse: ‘Associai-vos ao tipo certo de pessoas; evitai aquelas que não são do tipo certo’”.

Em relação ao uso dos sinais de pontuação presentes no trecho, é correto afirmar:

 

Provas

Questão presente nas seguintes provas
1010859 Ano: 2019
Disciplina: Português
Banca: UFRN
Orgão: UFRN

Dignidade e paciência

André Bueno

Professor Adjunto da UERJ

Confúcio levanta um problema sério para qualquer buscador da sabedoria: quais os limites da dignidade e da paciência? O mestre, por vezes, suportou ofensas atrozes de man eira inexpugnável; por outras vezes, revoltou-se, de imediato, com certos acontecimentos. Há um padrão para lidar com os problemas sem perder o controle? E, se existe, qual é?

Nos Diálogos de Confúcio (Lunyu), está escrito que os discípulos de Zixia perguntaram a Zizhang sobre as relações sociais. Zizhang disse: "O que Zixia vos disse?" Eles responderam: "Zixia disse: ‘Associai-vos ao tipo certo de pessoas; evitai aquelas que não são do tipo certo’”. Zizhang disse: "Ensinaram-me algo um pouco diferente: um cavalheiro respeita os sábios e tolera os medíocres, louva os bons e tem compaixão pelos incapazes. Se tenho uma vasta sabedoria, quem eu não toleraria? Se não tenho uma vasta sabedoria, as pessoas me evitarão. Com base em que deveria eu evitá-las?".

Em A Justa Medida (Zhong Yong), também se diz: "Se alguém faz dez vezes o que outros fazem uma vez; se faz cem o que outros fazem dez; se faz mil o que outros fazem cem, essa atitude leva à sabedoria". Ambos os trechos mostram que o exercício da paciência e da dignidade são práticas constantes, e seu domínio procede de uma intensa, profunda e dedicada atenção. Elas procedem do desejo de não buscar o conflito desnecessário, de atentar ao conjunto das possibilidades de resolução e de ponderar corretamente, sem fazer concessões levianas ou abandonar o que é correto.

Porém, em situações extremas, não há o que fazer para alterar o curso das coisas: pior, manter - se numa determinada posição pode mesmo significar um envolvimento – ou compromisso – com a causa dos problemas. Nessas situações, é melhor dar as costas ao mundo e seguir adiante. Se não se pode combater o problema frontalmente, e se a arte do indireto não serve para a elucidação daqueles envolvidos no erro, então, pôr-se a caminho não é covardia ou medo – é apenas a constatação de que nada pode ser feito, e a dignidade real consiste em conter-se e ausentar-se do contexto em erro.

No hexagrama 61 do Tratado das Mutações (Yijing), analisa-se a "verdade interior", a autenticidade realizante, derivada da centralidade do indivíduo. A sexta linha, que conclui o hexagrama, traz um comentário interessante: "O galo canta para o céu, mas não voa". Isso significa: podemos denunciar os crimes, mas, se não pudermos voar, se não tivermos o poder e a autoridade para corrigi-los, acabaremos só criando mais problemas. Portanto, nessas horas, por mais certos que estivermos, precisamos nos conter e praticar a paciência com dignidade. Tolerar é uma virtude; comedir-se, uma excelência. A covardia só existe quando alguém pode, de fato, resolver uma questão, mas se ausenta, seja por medo ou por compromisso. Quando alguém desconhece a própria força, deve cuidar-se para não confundir humildade com indulgência perante os erros. A autoridade moral para enfrentar as indignidades é difícil de se obter, e a paciência é confundida com covardia. Mas o buscador da sabedoria deve ter um compromisso, antes de tudo, com o que é apropriado e consigo mesmo, não temendo a reprovação alheia. "Sem princípios comuns é inútil discutir”, afirma Confúcio.


BUENO, André. Dignidade e paciência. Filosofia, ciência e vida. São Paulo: Editora Escala, Ed. 147, fev., 2019. p. 54-55. [Adaptado].
Em relação à reflexão apresentada em parágrafos anteriores, o quarto parágrafo constitui-se como uma
 

Provas

Questão presente nas seguintes provas
1010858 Ano: 2019
Disciplina: Português
Banca: UFRN
Orgão: UFRN

Dignidade e paciência

André Bueno

Professor Adjunto da UERJ

Confúcio levanta um problema sério para qualquer buscador da sabedoria: quais os limites da dignidade e da paciência? O mestre, por vezes, suportou ofensas atrozes de man eira inexpugnável; por outras vezes, revoltou-se, de imediato, com certos acontecimentos. Há um padrão para lidar com os problemas sem perder o controle? E, se existe, qual é?

Nos Diálogos de Confúcio (Lunyu), está escrito que os discípulos de Zixia perguntaram a Zizhang sobre as relações sociais. Zizhang disse: "O que Zixia vos disse?" Eles responderam: "Zixia disse: ‘Associai-vos ao tipo certo de pessoas; evitai aquelas que não são do tipo certo’”. Zizhang disse: "Ensinaram-me algo um pouco diferente: um cavalheiro respeita os sábios e tolera os medíocres, louva os bons e tem compaixão pelos incapazes. Se tenho uma vasta sabedoria, quem eu não toleraria? Se não tenho uma vasta sabedoria, as pessoas me evitarão. Com base em que deveria eu evitá-las?".

Em A Justa Medida (Zhong Yong), também se diz: "Se alguém faz dez vezes o que outros fazem uma vez; se faz cem o que outros fazem dez; se faz mil o que outros fazem cem, essa atitude leva à sabedoria". Ambos os trechos mostram que o exercício da paciência e da dignidade são práticas constantes, e seu domínio procede de uma intensa, profunda e dedicada atenção. Elas procedem do desejo de não buscar o conflito desnecessário, de atentar ao conjunto das possibilidades de resolução e de ponderar corretamente, sem fazer concessões levianas ou abandonar o que é correto.

Porém, em situações extremas, não há o que fazer para alterar o curso das coisas: pior, manter - se numa determinada posição pode mesmo significar um envolvimento – ou compromisso – com a causa dos problemas. Nessas situações, é melhor dar as costas ao mundo e seguir adiante. Se não se pode combater o problema frontalmente, e se a arte do indireto não serve para a elucidação daqueles envolvidos no erro, então, pôr-se a caminho não é covardia ou medo – é apenas a constatação de que nada pode ser feito, e a dignidade real consiste em conter-se e ausentar-se do contexto em erro.

No hexagrama 61 do Tratado das Mutações (Yijing), analisa-se a "verdade interior", a autenticidade realizante, derivada da centralidade do indivíduo. A sexta linha, que conclui o hexagrama, traz um comentário interessante: "O galo canta para o céu, mas não voa". Isso significa: podemos denunciar os crimes, mas, se não pudermos voar, se não tivermos o poder e a autoridade para corrigi-los, acabaremos só criando mais problemas. Portanto, nessas horas, por mais certos que estivermos, precisamos nos conter e praticar a paciência com dignidade. Tolerar é uma virtude; comedir-se, uma excelência. A covardia só existe quando alguém pode, de fato, resolver uma questão, mas se ausenta, seja por medo ou por compromisso. Quando alguém desconhece a própria força, deve cuidar-se para não confundir humildade com indulgência perante os erros. A autoridade moral para enfrentar as indignidades é difícil de se obter, e a paciência é confundida com covardia. Mas o buscador da sabedoria deve ter um compromisso, antes de tudo, com o que é apropriado e consigo mesmo, não temendo a reprovação alheia. "Sem princípios comuns é inútil discutir”, afirma Confúcio.


BUENO, André. Dignidade e paciência. Filosofia, ciência e vida. São Paulo: Editora Escala, Ed. 147, fev., 2019. p. 54-55. [Adaptado].

Considere o trecho:

Isso significa: podemos denunciar os crimes, mas, se não pudermos voar, se não tivermos o poder e a autoridade para corrigi-los, acabaremos só criando mais problemas.

Na linguagem utilizada no trecho,

 

Provas

Questão presente nas seguintes provas