Foram encontradas 250 questões.
Em relação à metodologia de desenvolvimento Rational Unified Process (RUP), é correto afirmar que:
I O RUP define um framework de processos para o desenvolvimento de software de larga escala, que oferece flexibilidade para ser customizado de acordo com a realidade de um dado projeto.
II O RUP motiva o desenvolvimento de um sistema através de iterações, embora tal prática não seja obrigatória nem essencial para a execução do processo.
III Práticas de metodologias ágeis, tais como Extreme Programming, podem ser adotadas em um processo que segue as diretrizes do RUP.
IV Cada iteração do RUP focaliza uma das seguintes atividades técnicas do desenvolvimento: especificação de requisitos, análise e projeto do sistema, implementação ou testes.
A opção em que todas as afirmativas são verdadeiras é
Provas
Uma imagem pode ser considerada como um sinal bidimensional. Uma operação que pode ser utilizada para realçar as informações contidas em uma imagem com baixo contraste é
Provas
Sobre a metodologia de desenvolvimento Extreme Programming (XP), é correto afirmar que
Provas
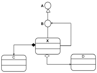
A Figura abaixo representa um diagrama de classes em UML:

Em relação ao diagrama, é correto afirmar que a
Provas
O tratamento de primeira linha para Leucemia Mieloide Crônica é o mesilato de imatinibe 400 ou 600mg/dia. Sobre essa droga é correto afirmar:
Provas
Considere as seguintes afirmativas relacionadas ao aleitamento materno/leite materno:
I De acordo com as definições da Organização Mundial de Saúde (OMS), aleitamento materno complementado é aquele em que a criança recebe, além do leite materno, água ou bebidas à base de água, tipo chás ou sucos.
II A IgA secretória é a principal imunoglobulina do leite materno que atua contra microorganismos que colonizam ou invadem superfícies mucosas. Quando comparado com o leite de vaca, o leite materno é mais pobre em cálcio e fósforo.
III Quanto à composição proteica do leite humano, 80% corresponde a caseína e 20%, a lacto albumina. Quanto ao teor de gordura, esta se altera no transcorrer de uma mamada, sendo maior ao final de cada mamada.
IV O controle da produção e da ejeção do leito humano é efetivado, respectivamente, pelos hormônios prolactina e ocitocina. Destes, a ocitocina sofre a influência mais direta do estado emocional da mãe ao estímulo no escoamento do leite.
Estão corretas as afirmativas
Provas
- Transmissão de DadosMeios de TransmissãoMeios Transmissão sem Fio
- Transmissão de DadosPadrões IEEE 802IEEE 802.11: Wireless LAN
Melhorias foram incorporadas ao padrão 802.11n para possibilitar um aumento na capacidade de transmissão em relação ao padrão 802.11g. Uma melhoria que não foi implementada no 802.11n é
Provas

UNIVERSIDADE FEDERAL DO RIO GRANDE DO NORTE
CENTRO DE CIÊNCIAS HUMANAS, LETRAS E ARTES
Of. nº 16/02-CCHLA
Natal, 16 de janeiro de 2002.
Ao Senhor
Cândido Fernandes de Oliveira
Pró-Reitor da PROAD
Digníssimo Senhor Pró-Reitor,
Solicito a V. Sª a destinação de um computador e uma impressora para atender ao Centro de Ciências Humanas, Letras e Artes – CCHLA. A digitação de textos, especialmente provas, é tarefa complexa e de muita responsabilidade. A cada semestre são elaboradas, digitadas e impressas centenas de provas para atender às inumeras solicitações, quer dos professores, quer de departamentos do Centro. Acresça-se a isso inúmeros outros trabalhos, tais como projetos e relatórios de pesquisa, formulários, certificados, correspondências, etc.
Até o presente momento, essas tarefas foram realizadas um pouco em cada um dos computadores do Centro, quando era possível tê-los disponíveis. Considero, porém, indispensável que um equipamento seja disponibilizado exclusivamente para essa tarefa, uma vez que a elaboração de provas devem revestir-se de todo sigilo possível, providência que ficará facilitada se esse trabalho for realizado num só local e em um só equipamento. Também é oportuno salientar que esses equipamentos – computador e impressora – serão destinados também a outras tarefas próprias de uma secretária.
Colocamo-nos à disposição para eventuais esclarecimentos e agradeço a habitual atenção.
Com apreço,
Adalberto Pereira Sales
Diretor do CCHLA
ZANOTTO, N. Correspondência e redação técnica. Caxias do Sul, RS: EDUCS, 2002. p. 129-130. (Col. Hotelaria). Adaptado.
Considerando os aspectos gerais do texto, é possível afirmar que ele
Provas
Observe a Figura abaixo.

Considerando-se a leitura do Gráfico para uma paciente com 32 semanas de gestação e apresentando altura uterina de 36cm, pode-se afastar o provável diagnóstico de
Provas
Na restauração de obras de arte, o equipamento utilizado para realizar procedimentos de reintelagem, impregnações, consolidações, planificação de suportes é a
Provas
Caderno Container