Magna Concursos

Foram encontradas 40 questões.

A questão a seguir se refere ao texto abaixo.
A tia Benvinda convidou duas amigas, a tia Flor e a tia Amada, para uma visita. Como era muito esquecida (como as amigas, aliás), pediu ao filho, Moise, que anotasse num papelzinho o que(a) tinha de servir. “Comece com café”, anotou Moise. “Siga com as cerejas, queijos e por fim os doces”.
Chegaram as visitas, conversaram um pouco, e tia Benvinda foi até a cozinha. Olhou no papelzinho, viu que(b) tinha de servir café e voltou com o café. Tomaram café, conversaram mais um pouco, tia Benvinda recolheu as xícaras, foi até a cozinha e olhou de novo o papelzinho: “Comece com o café...”. De modo que(c) trouxe café. Tomaram café, conversaram, de novo a anfitriã foi até a cozinha e... mais café. Assim se passou a tarde.
Finalmente, as duas idosas levantaram-se, despediram- se e se foram. No caminho, tia Flor comentou com tia Amada:
Que(d) jeito grosseiro de receber tem essa Benvinda! Nem nos serviu café!
Ao que(e) a outra a olhou com surpresa:
– Benvinda? Benvinda disseste? E quando a viste?
Neste meio tempo, Moise chegou à casa da mãe e perguntou como havia sido o encontro.
– Não vale a pena preparar tanta coisa – foi a resposta. – As visitas nem apareceram.
Extraído e adaptado de: SCLIAR, M.; FINZI, P. ELIAHU, T.
Humor Judaico: do éden ao divã. São Paulo: Shalom, 1990.
Assinale a alternativa em que a palavra exerce no texto a função de conjunção integrante.
 

Provas

Questão presente nas seguintes provas

Conforme a Constituição Federal, a República Federativa do Brasil

 

Provas

Questão presente nas seguintes provas
605321 Ano: 2014
Disciplina: Engenharia Eletrônica
Banca: UFRGS
Orgão: UFRGS
Provas:
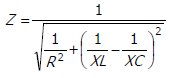
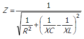
Um circuito RLC é composto por um resistor com resistência R, um indutor com reatância indutiva XL e um capacitor com reatância capacitiva XC. Os componentes são associados em paralelo. Qual a alternativa que indica o cálculo da impedância desse circuito?
 

Provas

Questão presente nas seguintes provas
581417 Ano: 2014
Disciplina: Engenharia Elétrica
Banca: UFRGS
Orgão: UFRGS
Provas:
Um transformador 100/10 V, 200 VA deve ser ligado como autotransformador elevador. Nessa situação, a máxima potência aparente que o dispositivo pode fornecer é, aproximadamente, igual a
 

Provas

Questão presente nas seguintes provas
Conforme a Lei Federal n. 11.091/2005, considere as afirmativas abaixo.
I - Será instituído Incentivo à Qualificação ao servidor que possuir educação formal superior ao exigido para o cargo de que é titular, na forma de regulamento.
II - Na contagem do interstício necessário à Progressão por Mérito Profissional, não será aproveitado o tempo computado desde a última progressão.
III - O interstício para Progressão por Mérito Profissional na Carreira é de 20 (vinte) meses contados da posse.
Quais estão corretas?
 

Provas

Questão presente nas seguintes provas
580655 Ano: 2014
Disciplina: Engenharia Elétrica
Banca: UFRGS
Orgão: UFRGS
Provas:
Assinale a alternativa correta com relação à ABNT NBR 5410.
 

Provas

Questão presente nas seguintes provas
568998 Ano: 2014
Disciplina: Engenharia Elétrica
Banca: UFRGS
Orgão: UFRGS
Provas:
Uma estufa trifásica é formada por três resistores ligados em estrela com resistências individuais iguais a 38 !$ \Omega !$. Se a tensão de linha da ligação é 380 V, a potência da estufa é de
 

Provas

Questão presente nas seguintes provas
A questão a seguir se refere ao texto abaixo.
A tia Benvinda convidou duas amigas, a tia Flor e a tia Amada, para uma visita. Como era muito esquecida (como as amigas, aliás), pediu ao filho, Moise, que anotasse num papelzinho o que tinha de servir. “Comece com café”, anotou Moise. “Siga com as cerejas, queijos e por fim os doces”.
Chegaram as visitas, conversaram um pouco, e tia Benvinda foi até a cozinha. Olhou no papelzinho, viu que tinha de servir café e voltou com o café. Tomaram café, conversaram mais um pouco, tia Benvinda recolheu as xícaras, foi até a cozinha e olhou de novo o papelzinho: “Comece com o café...”. De modo que trouxe café. Tomaram café, conversaram, de novo a anfitriã foi até a cozinha e... mais café. Assim se passou a tarde.
Finalmente, as duas idosas levantaram-se, despediram- se e se foram. No caminho, tia Flor comentou com tia Amada:
– Que jeito grosseiro de receber tem essa Benvinda! Nem nos serviu café!
Ao que a outra a olhou com surpresa:
– Benvinda? Benvinda disseste? E quando a viste?
Neste meio tempo, Moise chegou à casa da mãe e perguntou como havia sido o encontro.
– Não vale a pena preparar tanta coisa – foi a resposta. – As visitas nem apareceram.
Extraído e adaptado de: SCLIAR, M.; FINZI, P. ELIAHU, T.
Humor Judaico: do éden ao divã. São Paulo: Shalom, 1990.
A conjunção como tem um valor
 

Provas

Questão presente nas seguintes provas
545761 Ano: 2014
Disciplina: Engenharia Eletrônica
Banca: UFRGS
Orgão: UFRGS
Provas:
Uma carga resistiva é composta por dois resistores em paralelo, de 10 !$ \Omega !$ cada um, e alimentada por uma fonte de tensão de 220 V. O valor da corrente total e da resistência equivalente dessa carga é, respectivamente, de
 

Provas

Questão presente nas seguintes provas
545675 Ano: 2014
Disciplina: Engenharia Elétrica
Banca: UFRGS
Orgão: UFRGS
Provas:
Um motor de indução apresenta as seguintes características: quatro polos, 60 Hz, 60 kW, 220 V, ligação estrela. Esse motor, quando funciona com rotação de 1800 RPM, produz um conjugado de
 

Provas

Questão presente nas seguintes provas