Foram encontradas 55 questões.
A planilha da figura abaixo foi elaborada no Calc do pacote LibreOffice 7.3.2.2 BR (x64).

Nas células E9, E10, E11 e E12 foram inseridas expressões usando a função MENOR, para determinar a menor cotação entre os fornecedores. Na célula F9 foi inserida uma expressão usando a função SE, que testa o menor valor obtido com a cotação de um dos três fornecedores, indicando o fornecedor vencedor da licitação no item. Em seguida, a expressão inserida em F9 foi selecionada e copiada para as células F10, F11 e F12. Cabe ressaltar que, no uso da função SE, foi usado o conceito de referência absoluta.
Nesse contexto, as expressões válidas inseridas em E9 e F9 são, respectivamente,
Provas
Esse tipo de vírus é conhecido como
Provas
O atalho de teclado e o novo tipo de alinhamento são
Provas
Nessas condições, a caixa postal padrão e a referência específica são, respectivamente,
Provas
Provas
Provas
Provas
A seguir são apresentadas as formas de onda de entrada de um flip-flop do tipo JK com transição por borda de descida.

Considerando que a saída Q é iniciada em 0 e o tempo de hold do flip-flop é igual a zero, a saída Q irá comutar para 1 no instante t igual a
Provas
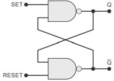
O circuito apresentado na sequência representa um LATCH com portas NAND.

Para que a saída do circuito seja Q=1, deve-se ter na entrada
Provas
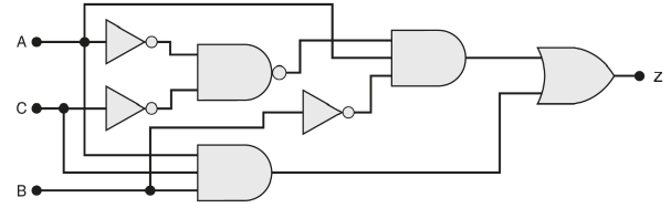
Considere o circuito combinacional apresentado na sequência.

A saída z simplificada do circuito lógico acima é dada por
Provas
Caderno Container