Foram encontradas 50 questões.
A NBR ISO/IEC 17025 é uma referência normativa que trata dos requisitos gerais para competência de laboratórios de ensaio e calibração. Segundo essa norma, na rastreabilidade de medição,
Provas
A medida da falta de resistência dos comprimidos à abrasão, quando submetidos à ação mecânica, é denominada
Provas
Sobre a titulometria em meio aquoso e não aquoso, analise as assertivas e assinale a alternativa correta.
I. Segundo Bronsted-Lowry, os ácidos são definidos como aceitadores de prótons e bases doadoras de prótons.
II. É possível medir a concentração de hidrogênio iônico em uma solução a partir de uma escala logarítmica inversa, que recebe o nome de potencial hidrogeniônico ou, simplesmente, escala de pH.
III. Por meio do cálculo de titulação, é possível descobrir a concentração do ácido em uma solução.
IV. Recomenda-se sempre adicionar o ácido concentrado sobre a água e nunca o contrário.
V. Os fármacos que não podem ser dosados em meio aquoso, por serem demasiadamente pouco básicos ou pouco ácidos, podem ser dosados em meio não aquoso.
Provas
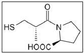
O Captopril (representado na figura a seguir) é indicado para o tratamento de pacientes com hipertensão arterial, insuficiência cardíaca, infarto do miocárdio e nefropatia diabética. No controle de qualidade físico-químico de comprimidos contendo captopril 25 mg associado a excipientes em quantidade suficiente para 100 mg, utilizando-se blísteres como embalagem primária, obteve-se os resultados apresentados na seguinte tabela. De acordo com esses resultados, assinale a alternativa INCORRETA.

| Parâmetro | Valor encontrado |
| Peso Médio | 101, 2 mg |
| Friabilidade | 5% |
| Dureza | 62 N |
| Tempo de desintegração | 29 s |
| Quantidade de captopril dissolvido | 99,8% |
| Vazamento | 100% |
Provas
Provas
Provas

Provas
Provas
Considerando o Microsoft PowerPoint 2007,
versão em português, em sua instalação
padrão, o botão
que está disponível no
menu Revisão, exerce a função
Provas
Provas
Caderno Container