Foram encontradas 50 questões.
Web services é o nome dado à tecnologia que permite a comunicação entre aplicações de uma maneira independente de sistema operacional e de linguagem de programação. Faça a correlação entre os padrões básicos dos webservices e suas definições como mostrados na tabela a seguir.
| Webservice | Definição | ||
| 1. | XML | I. |
Linguagem utilizada para descrever web services funcionando como um contrato do serviço. Descreve convenções para mapeamento dos conteúdos da mensagem dentro e fora dos programas que implementam o serviço.
|
| 2. | WSDL | II. |
Definem o formato das mensagens, especificando a interface com que a mensagem é enviada.
|
| 3. | SOAP | III. |
Linguagem para representação de dados que é extensível e naturalmente independente de plataforma, além de ser amplamente utilizada pela indústria.
|
| 4. | UDDI | IV. |
É um serviço de diretório onde empresas podem registrar (publicar) e buscar (descobrir) web services.
|
A sequência CORRETA webservice com a sua descrição é:
Provas
Questão presente nas seguintes provas
Assinale a frase em que NÃO se justifica o emprego do acento indicativo de crase:
Provas
Questão presente nas seguintes provas
O Sistema Operacional Windows é conhecido pela interação com os usuários por meio de janelas.Caso a janela de um aplicativo Windows tenha no canto superior direito os seguintes ícones:

A função de cada ícone, lidos da esquerda para a direita será:
Provas
Questão presente nas seguintes provas
O gráfico a seguir mostra o período de atuação e a quantidade de gols em jogos oficiais jogadores de futebol.
Baseado nas informações do gráfico, o jogador que possui a maior média de gols por ano é:
Provas
Questão presente nas seguintes provas
Um jovem de 25 anos é o novo recordista brasileiro em ficar maior tempo acordado. Ele permaneceu acordado das 7h00 do dia 11 de fevereiro até às 12h20 do dia 15 de fevereiro. Podemos afirmar que o tempo total que o jovem ficou acordado para bater o recorde foi de:
Provas
Questão presente nas seguintes provas
Os proxys são servidores de rede que surgiram pela necessidade de conectar as redes locais (LANs) a Internet. Sobre os servidores proxys é CORRETO afirmar:
Provas
Questão presente nas seguintes provas
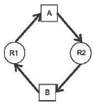
A figura a seguir apresenta dois processos A e B, representados por quadrados, e dois recursos R1 e R2, representados por círculos. Quando um processo solicita um recurso, uma seta é dirigida do quadrado ao círculo. Quando um recurso é alocado a um processo, uma seta é dirigida do círculo ao quadrado.

Na situação retratada na figura, cada processo solicita um recurso que está alocado para o outro. No contexto dos Sistemas Operacionais, essa é uma situação conhecida como:
Provas
Questão presente nas seguintes provas
Uma fábrica de automóveis produz uma caminhonete que pode ser equipada com três tipos de pacotes conforto: L, LT e LTZ. Além disso, pode ter cabine dupla ou simples, câmbio automático ou manual, motor diesel ou a gasolina, tração 4x4 ou 4x2. A quantidade de versões diferentes que essa caminhonete pode ter é:
Provas
Questão presente nas seguintes provas
Assinale a frase em que a oração subordinada deveria ser isolada por vírgula(s):
Provas
Questão presente nas seguintes provas
Para o endereço IP 192.169.16.0/30, o endereço de broadcast e o número possível de hosts são respectivamente:
Provas
Questão presente nas seguintes provas
Cadernos
Caderno Container