Foram encontradas 50 questões.
O consumo de combustível em função da velocidade varia de acordo com o carro, seu ano de fabricação, modo de dirigir, entre outros fatores. Para um determinado carro, considerando apenas a velocidade, o desempenho é mostrado no gráfico seguinte:

Analisando o gráfico, a única alternativa correta é:
Provas
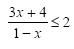
Os valores reais de x que satisfazem a desigualdade
são:
Provas
Um certo capital aplicado à taxa de juros simples duplicou em 20 anos. A que taxa anual foi empregado esse capital?
Provas
Dividindo 144 em partes inversamente proporcionais a 3, 4 e 12 obtemos respectivamente:
Provas
- GeometriaGeometria PlanaTriângulosMediana, Mediatriz, Bissetriz e Altura de Triângulos
- GeometriaGeometria PlanaQuadriláteros
Um terreno quadrangular tem área de 0,01 km2. Então seus lados medem:
Provas
Provas
Uma urna contém 4 bolas pretas e 8 bolas brancas. Uma pessoa retira 3 dessas bolas, uma após a outra, sem reposição. As duas primeiras bolas retiradas são brancas. Então a probabilidade da terceira bola também ser branca é:
Provas
Na produção de peças, uma indústria tem um custo fixo de R$ 4200,00 mais um custo variável de R$ 20,00, por unidade produzida. Então a função que fornece o custo total de produção de x peças é:
Provas
Uma torneira jorra 240 litros de água por hora. Uma segunda torneira jorra 150 litros de água por hora. Em quanto tempo a segunda torneira jorra a mesma quantidade de água que a primeira em 40 minutos?
Provas
Com os algarismos de 1 a 9 quantos números distintos de 2 dígitos podem ser formados?
Provas
Caderno Container