Foram encontradas 60 questões.
Segundo a Lei nº 6.766/1979, não será permitido o parcelamento do solo em:
I. Terrenos alagadiços e sujeitos a inundações, antes de tomadas as providências para assegurar o escoamento das águas.
II. Terrenos que tenham sido aterrados com material nocivo à saúde pública, sem que sejam previamente saneados.
III. Terrenos com declividade igual ou superior a 30%, salvo se atendidas exigências específicas das autoridades competentes.
IV. Terrenos onde as condições geológicas não aconselham a edificação.
V. Áreas de preservação ecológica ou naquelas onde a poluição impeça condições sanitárias suportáveis, até a sua correção.
Está correto o que se afirma em:
Provas
Disciplina: Legislação dos Tribunais do Trabalho (TST e TRTs)
Banca: FCC
Orgão: TRT-5
- TRTs: Tribunais Regionais do TrabalhoTRT-5: Tribunal Regional do Trabalho da 5ª RegiãoTRT-5: Regimento Interno
Nos termos do Regimento Interno do Tribunal Regional do Trabalho da 5ª Região,
Provas
Em uma estrutura metálica utilizou-se uma viga de aço com peso próprio característico de 12 kN/m. Considerando as combinações normais das ações permanentes no estado-limite último, o peso próprio de cálculo, em kN/m, que deve ser utilizado no dimensionamento da viga, é
Provas
Uma barra birrotulada, com 1,26 m de comprimento, está submetida a uma força axial de compressão. Se o raio de giração da seção transversal da barra é igual a 1,20 cm, então, o índice de esbeltez da barra é igual a
Provas
A viga simplesmente apoiada da figura a seguir, com vão de 8 m, está submetida a três cargas concentradas de 40 kN.

O momento fletor máximo que traciona as fibras inferiores da viga é igual a
Provas
A viga simplesmente apoiada da figura a seguir está submetida a uma carga uniformemente distribuída de 30 kN/m em todo o seu vão de 8 metros.

A tensão normal admissível na flexão da viga é igual a 160 MPa e a seção transversal da viga é retangular com 10 cm de largura. Para resistir às tensões normais na flexão, a altura da viga deve ser é igual a
Provas
O pórtico isostático triarticulado da figura a seguir está submetido a uma carga uniformemente distribuída de 50 kN/m em todo o seu vão de 10 m e a uma carga concentrada horizontal de 150 kN.

As reações nos apoios A e B, em kN são, respectivamente,
Provas
Uma obra de engenharia foi dividida em 5 etapas independentes e duração de 5 meses, conforme o cronograma a seguir:
| Serviço | meses | Custo (%) | ||||
| 1 | 2 | 3 | 4 | 5 | ||
| A | 60% | 40% | 10 | |||
| B | 30% | 50% | 20% | 20 | ||
| C | 20% | 40% | 20% | 20% | 40 | |
| D | 40% | 60% | 20 | |||
| E | 100% | 10 | ||||
O contrato prevê uma retenção de 10% em cada medição, ou seja, são pagos 90% dos serviços medidos e reservados 10% para a entrega da obra. Em relação ao custo total, a medição acumulada no segundo mês corresponde ao percentual de
Provas
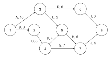
A ampliação da área construída de uma edificação seguiu o cronograma PERT-CPM a seguir, no qual, as atividades estão representadas por letras, seguidas de suas durações em dias.

A duração dessa obra de ampliação de área construída, em dias, é
Provas
Em uma oficina foi instado um motor trifásico com tensão de 220 Volts e 10 ampères por fase, com fator de potência de 90%. A potência fornecida pela rede elétrica é igual a
Provas
Caderno Container