Foram encontradas 790 questões.
Em relação ao processo orçamentário, é correto afirmar:
Provas
Questão presente nas seguintes provas
Em relação ao processo orçamentário, é correto afirmar:
Provas
Questão presente nas seguintes provas
A classificação econômica do orçamento
Provas
Questão presente nas seguintes provas
Constitui exemplo de receita extraorçamentária:
Provas
Questão presente nas seguintes provas
Os testes de auditoria que têm por objetivo verificar se os procedimentos de controle interno, estabelecidos pela administração, estão em efetivo funcionamento e cumprimento, são denominados testes
Provas
Questão presente nas seguintes provas
Sabe-se que, no Brasil, nas operações financeiras é usado o sistema decimal de numeração, no qual um número inteiro N pode ser representado como:

Nesse sistema, por exemplo, 8 903 = 8.103 + 9.102 + 0.101 + 3.100
Suponha que, em férias, Benivaldo visitou certo país, no qual todas as operações financeiras eram feitas num sistema de numeração de base 6 e cuja unidade monetária era o "delta". Após ter gasto 2 014 deltas em compras numa loja e percebendo que dispunha exclusivamente de cinco notas de 100 reais, Benivaldo convenceu o dono da loja a aceitar o pagamento na moeda brasileira, dispondo-se a receber o troco na moeda local. Nessas condições, a quantia que ele recebeu de troco, em deltas, era
Nesse sistema, por exemplo, 8 903 = 8.103 + 9.102 + 0.101 + 3.100
Suponha que, em férias, Benivaldo visitou certo país, no qual todas as operações financeiras eram feitas num sistema de numeração de base 6 e cuja unidade monetária era o "delta". Após ter gasto 2 014 deltas em compras numa loja e percebendo que dispunha exclusivamente de cinco notas de 100 reais, Benivaldo convenceu o dono da loja a aceitar o pagamento na moeda brasileira, dispondo-se a receber o troco na moeda local. Nessas condições, a quantia que ele recebeu de troco, em deltas, era
Provas
Questão presente nas seguintes provas
Sejam x , y e z três números inteiros e positivos, tais que x < y < z. Sabe-se que o maior é a soma dos outros dois, e que o menor é um sexto do maior. Nessas condições, x, y e z são, nesta ordem, diretamente proporcionais a
Provas
Questão presente nas seguintes provas
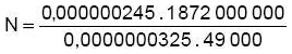
Um número escrito na notação científica é expresso pelo produto de um número racional x por
, sendo 1 ? x < 10 e n um número inteiro. Dessa forma, a expressão do número
na notação cientifica é
na notação cientifica éProvas
Questão presente nas seguintes provas
Ao conferir a elaboração dos cálculos em um processo, um Analista do Tribunal Regional Federal percebeu que o total apresentado era maior que o valor real. Ele comunicou ao responsável pela elaboração dos cálculos que a diferença encontrada, em reais, era igual ao menor número inteiro que, ao ser dividido por 2, 3, 4, 5 ou 6, resulta sempre no resto 1, enquanto que, quando dividido por 11, resulta no resto 0. Dessa forma, se o valor real era R$ 10 258,00, o total apresentado era
Provas
Questão presente nas seguintes provas
A expressão N ÷ 0,0125 é equivalente ao produto de N por
Provas
Questão presente nas seguintes provas
Cadernos
Caderno Container