Foram encontradas 1.700 questões.
Provas

Apesar de proverem alto nível de segurança, tais dispositivos apresentam um problema potencial: como a comunicação é unilateral, caso o link de comunicação apresente algum problema, o transmissor não tem como saber se o receptor recebeu suas mensagens, e, potencialmente, dados do ambiente industrial podem ser perdidos. Uma maneira de contornar isso é provendo armazenamento do lado do transmissor de forma que, por retransmissão preventiva ou mecanismo manual, os dados sejam reenviados para o receptor.
Supondo que o fluxo de dados no link seja constante a uma taxa de 4 MB/s, qual a quantidade de armazenamento necessária, no dispositivo TX, para que, caso o link fique inoperante por 2 horas, não seja perdido qualquer dado?
Provas
Provas
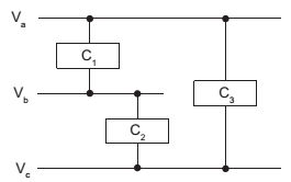
Uma fonte trifásica com tensões de fase equilibradas Va , Vb e Vc alimenta um sistema trifásico, formado por três cargas denominadas C1 , C2 e C3 .

As cargas possuem impedância de mesmo módulo, com os fatores de potência de acordo com a Tabela a seguir:

A carga total do sistema
Provas
- Transformadores e Máquinas ElétricasMáquinas EstáticasTransformador de Potência
- Sistemas Elétricos de PotênciaAnálise de SEPAnálise de Curto-circuitos
Os ensaios em vazio e de curto circuito são realizados nos transformadores com o objetivo de levantar os seus parâmetros, permitindo que seja montado o seu circuito equivalente.
Considere um transformador monofásico de 10 KVA, 1.000 V / 100 V, que foi submetido aos dois ensaios, cujos resultados são apresentados a seguir:
Ensaio em vazio: Voc = 100 V, Ioc = 2 A, Poc = 10 W
Ensaio em curto: Vcc = 20 V, Icc = 100 A, Pcc = 1.000 W
Diante do exposto, a reatância de magnetização do transformador, referida ao lado de alta tensão, em ohms, é, aproximadamente,
Provas
Provas
A equipe de manutenção de uma subestação utilizou um multímetro para medir o valor da tensão entre dois barramentos de fases distintas. O valor apresentado no aparelho foi de 220 V.
Supondo-se que a tensão medida seja puramente senoidal, então, o valor do pico, em volts, dessa tensão é:
Provas
Provas
O circuito regulador de tensão representado na Figura abaixo tem como objetivo manter a tensão constante sobre o resistor R2 , mesmo na ocorrência de variações na fonte não regulada VDC. Para realizar essa tarefa, foi utilizado um diodo zener Z1 , com tensão de ruptura VZ = 5,0 V e uma capacidade máxima de dissipação de potência igual a 2,0 W.

Dessa forma, qual é o valor máximo de tensão, em volts, que a fonte não regulada VDC pode assumir sem danificar o circuito regulador?
Provas
Em uma determinada fábrica, as potências ativas (P) e reativas (Q), demandadas pelas cargas elétricas instaladas, podem ser classificadas da seguinte forma:
1. Iluminação: Piluminação = 1kW e Qiluminação = 0,5 kvar (indutivo)
2. Aquecimento: Paquecimento = 4 kW
3. Fornos de indução: Qfornos = 7,5 kvar (indutivo)
4. Motores: Pmotores = 3 kW e Qmotores = 1 kvar (indutivo)
5. Banco de capacitores: Qcapacitores = 3 kvar (capacitivo)
O valor do fator de potência total indutivo dessa fábrica é
Provas
Caderno Container