Magna Concursos

Foram encontradas 1.540 questões.

787300 Ano: 2014
Disciplina: Matemática
Banca: CESPE / CEBRASPE
Orgão: TJ-SE
Julgue os próximos itens, referentes à qualidade de ajuste de um modelo de regressão.

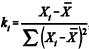
Considere que, em um modelo de regressão linear simples, o valor esperado do quadrado médio do resíduo seja dado por Enunciado 787300-1, em que β1 é a inclinação da reta e σ2 é a variância da resposta. Nesse caso, se a estatística F da ANOVA para qualidade de ajuste fosse unitária para um modelo, a inclinação da reta de regressão seria nula
 

Provas

Questão presente nas seguintes provas
787299 Ano: 2014
Disciplina: Matemática
Banca: CESPE / CEBRASPE
Orgão: TJ-SE
Com relação à inferência para os parâmetros de modelos de regressão linear, julgue os seguintes itens.

Se o coeficiente de inclinação da reta de um modelo de regressão linear simples pode ser escrito como Enunciado 787299-1 em que Enunciado 787299-2 para i = 1, ...,n,então Enunciado 787299-3
 

Provas

Questão presente nas seguintes provas
787298 Ano: 2014
Disciplina: Estatística
Banca: CESPE / CEBRASPE
Orgão: TJ-SE
Com relação à inferência para os parâmetros de modelos de regressão linear, julgue os seguintes itens.

Em um modelo de regressão linear simples, com resposta Y e variável explicativa X, o valor esperado para a variável resposta no ponto X = Enunciado 787298-1 será igual a Enunciado 787298-2.
 

Provas

Questão presente nas seguintes provas
787297 Ano: 2014
Disciplina: Matemática
Banca: CESPE / CEBRASPE
Orgão: TJ-SE
Um sistema linear, invariante no tempo contínuo, sem memória em t = 0, é definido pela equação diferencial Enunciado 787297-1 e pode ser representado no espaço de estados pelas seguintes equações matriciais:

Enunciado 787297-2

Com base nessas informações, julgue os itens subsecutivos.

A função de transferência obtida a partir das equações matriciais que representam o referido sistema é dada por Enunciado 787297-3 em que I é a matriz identidade de segunda ordem.
 

Provas

Questão presente nas seguintes provas
Enunciado 787296-1

No que se refere às ideias e aos aspectos linguísticos do texto acima, julgue os itens a seguir.

O termo “de senhas” (l. 18) e a oração “de se regulamentar o uso da Internet” (l. 21 e 22) complementam o sentido de nomes substantivos.
 

Provas

Questão presente nas seguintes provas
Enunciado 787295-1

O gráfico acima mostra os resultados do esforço nacional para o cumprimento da meta 2 do Grupo de Persecução Penal, da Estratégia Nacional de Justiça e Segurança Pública. O objetivo dessa meta era o de concluir os inquéritos policiais relativos a homicídios dolosos instaurados até 31 de dezembro de 2007. Para avaliar o cumprimento da meta 2, o Grupo de Persecução Penal adotou um critério percentual, segundo o qual era considerada cumprida a meta, caso o estado tivesse concluído 90% do seu estoque inicial de inquéritos. Com base nessas informações e nos dados do gráfico, julgue os itens que seguem.

De acordo com o gráfico, nenhuma das regiões brasileiras cumpriu a meta 2.
 

Provas

Questão presente nas seguintes provas
Enunciado 787294-1

Em relação às ideias e às estruturas linguísticas do texto acima, julgue os itens de 1 a 7.

No primeiro período do segundo parágrafo, sobrepõem-se duas informações: a de que, mesmo no Brasil República, as leis traduziram a visão machista de superioridade masculina e a de que essa visão imperava antes dessa época.
 

Provas

Questão presente nas seguintes provas
Enunciado 787293-1
O gráfico acima mostra os resultados do esforço nacional para o cumprimento da meta 2 do Grupo de Persecução Penal, da Estratégia Nacional de Justiça e Segurança Pública. O objetivo dessa meta era o de concluir os inquéritos policiais relativos a homicídios dolosos instaurados até 31 de dezembro de 2007. Para avaliar o cumprimento da meta 2, o Grupo de Persecução Penal adotou um critério percentual, segundo o qual era considerada cumprida a meta, caso o estado tivesse concluído 90% do seu estoque inicial de inquéritos. Com base nessas informações e nos dados do gráfico, julgue os itens que seguem.

O estado que ficou mais próximo de cumprir a meta 2 foi Tocantins e o que ficou mais distante de cumprir essa meta foi Minas Gerais.
 

Provas

Questão presente nas seguintes provas
787292 Ano: 2014
Disciplina: Português
Banca: CESPE / CEBRASPE
Orgão: TJ-SE
Enunciado 787292-1
Considerando as ideias e estruturas linguísticas do texto acima, julgue.


Os “motivos errados” a que se refere o autor do texto à linha 6 estão associados à atitude do governo brasileiro, na década de vinte do século passado, de negar a miscigenação do povo em favor da eugenia
 

Provas

Questão presente nas seguintes provas
Enunciado 787291-1

No que se refere às ideias e aos aspectos linguísticos do texto acima, julgue os itens a seguir.

Depreende-se da leitura do texto que a criação de leis que criminalizam práticas relacionadas ao uso da Internet e a discussão acerca da necessidade de regulamentação do uso da Internet são respostas ao crescimento dos problemas advindos da expansão do mundo virtual.
 

Provas

Questão presente nas seguintes provas