Foram encontradas 160 questões.
Uma população é constituída de dez elementos. Considerando-se amostragem sem reposição, a quantidade de amostras de tamanho quatro que pode ser obtida dessa população é igual a:
Provas
Ao estimar o tempo médio (em horas) para a realização de auditorias externas, um analista obteve, a partir de uma amostra de tamanho 36, o seguinte intervalo:

Podemos afirmar que o desvio padrão do tempo para a realização de auditorias externas é igual a:
Provas
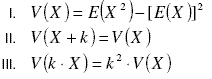
Considere as seguintes afirmações a seguir, onde V é variância, E é valor esperado, k é uma constante e X uma variável aleatória:

Provas
Ao analisar a quantidade demandada ( q ) de determinado produto em função do seu preço ( p ) e o preço de um produto substituto ( P1 ), um pesquisador obteve o seguinte modelo de regressão múltipla, com as respectivas estatísticas t entre parênteses:

Podemos afirmar que o erro padrão da estimativa do coeficiente da variável preço ( p ) é igual a:
Provas
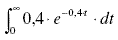
O resultado de,
, é igual a:
Provas
- Estatística InferencialEstimadoresDistribuição Amostral dos EstimadoresDistribuição Amostral da Proporção
Uma rede varejista possui depósitos em três municípios, Curitiba, Cascavel e Londrina, com estoques de 500, 750 e 800 unidades de determinado produto, respectivamente. O gestor de logística da rede verifica que as filiais situadas na região de Ponta Grossa, Guarapuava e Maringá necessitam respectivamente de 600, 700 e 750 unidades do produto. O quadro a seguir apresenta os custos do transporte de uma unidade do produto de cada depósito para cada filial:

Provas
Uma empresa fabrica dois produtos, X e Y, que dependem de dois fatores: material e mão de obra. Para produzir uma unidade do produto X são necessárias 2 unidades de material e 15 minutos de mão de obra, enquanto que, para produzir uma unidade do produto Y são necessárias 3 unidades de material e 30 minutos de mão de obra. Considerando pedidos já efetuados a empresa deverá produzir mensalmente, no mínimo, 500 unidades do produto X e 600 unidades do produto Y. A empresa dispõe mensalmente de 5.100 unidades de material e 750 horas de mão de obra. Sabendose que toda a produção mensal da empresa é comercializada e que a margem do lucro unitário do produto X é de R$ 100 e do produto Y é de R$ 160, o lucro máximo mensal que pode ser obtido pela empresa é igual a:
Provas
Ao estimar a proporção de consumidores descontentes com a atuação de determinada empresa de telefonia, um pesquisador obteve o erro padrão da proporção igual a 2%. Sabendo-se que 80% dos consumidores pesquisados estão descontentes com a empresa de telefonia, podemos afirmar que o número total de consumidores pesquisados foi igual a:
Provas
Dados os conjuntos, X = {1; 3; 5} e Y = {2; 4; 6}, a covariância entre X e Y é igual a:
Provas
Uma variável aleatória X segue a Distribuição Binomial com média igual a oito e desvio padrão igual a dois. Assim, podemos afirmar que o produto da probabilidade de sucesso p pela probabilidade de insucesso q é igual a:
Provas
Caderno Container