Foram encontradas 80 questões.
- Princípios Fundamentais da ConstituiçãoForma de Estado e Governo, Sistema de Governo e Regime Político
São fundamentos da República Federativa do Brasil, EXCETO:
Provas
Assinale a alternativa correta.
Provas
Assinale a alternativa INCORRETA.
Provas
- Direitos e Garantias FundamentaisDireitos Políticos
- Direitos e Garantias FundamentaisPartidos Políticos
Assinale a alternativa INCORRETA.
Provas
Assinale a alternativa INCORRETA.
Provas
Assinale a alternativa correta.
Provas
A Constituição afirma que "Todo o poder emana do povo, que o exerce por meio de representantes eleitos ou diretamente, nos termos desta Constituição." Diante disso, são formas de exercício da democracia direta, EXCETO:
Provas
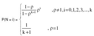
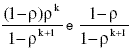
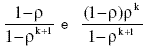
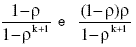
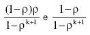
Seja um sistema em que se tem o Processo de Fila tipo M/M/1 no qual o número total de serviços requeridos é limitado por k
N* devido à limitação do tamanho da fila. Considere que o sistema obedece a seguinte lei:

Provas
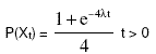
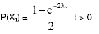
Suponha que na rodovia BR116, em uma determinada Praça de Pedágio, a chegada dos veículos no intervalo de tempo (0, t] ocorre segundo um Processo de Poisson. Assim, as chegadas representadas pela variável aleatória Xt seguem uma distribuição de Poisson com parâmetro lt. Então, é correto afirmar que:
Provas
Considere um processo
estacionário. A facv (função de autocovariância)
definida por
satisfaz às seguintes propriedades:
Provas
Caderno Container