Magna Concursos

Foram encontradas 117 questões.

1751987 Ano: 2008
Disciplina: Engenharia Eletrônica
Banca: CESPE / CEBRASPE
Orgão: TJ-DFT

enunciado 1751987-1

Com base nos dados do circuito elétrico acima esquematizado, que contém fontes independentes ideais de tensão e de corrente conectadas a dois resistores supostamente ideais, julgue os itens a seguir.

Nesse circuito, os resistores absorvem um total de 40 W de potência, apesar de a fonte de corrente fornecer 60 W.

 

Provas

Questão presente nas seguintes provas
1751986 Ano: 2008
Disciplina: Engenharia Eletrônica
Banca: CESPE / CEBRASPE
Orgão: TJ-DFT

enunciado 1751986-1

A figura acima mostra um circuito elétrico alimentado por uma fonte de tensão ideal e s . Nesse circuito, os elementos elétricos são supostamente ideais, sendo que os capacitores de capacitâncias C 1 e C 2 encontram-se descarregados no instante de tempo — t — igual a zero. A partir dessas informações, julgue os itens que se seguem.

Caso o capacitor de capacitância C2 fosse substituído por um indutor com indutância L e a fonte de tensão representasse um sinal de excitação em degrau, então, em regime permanente, a corrente i seria não-nula.

 

Provas

Questão presente nas seguintes provas
1751985 Ano: 2008
Disciplina: Engenharia Eletrônica
Banca: CESPE / CEBRASPE
Orgão: TJ-DFT

enunciado 1751985-1

A figura acima mostra um circuito elétrico alimentado por uma fonte de tensão ideal e s . Nesse circuito, os elementos elétricos são supostamente ideais, sendo que os capacitores de capacitâncias C 1 e C 2 encontram-se descarregados no instante de tempo — t — igual a zero. A partir dessas informações, julgue os itens que se seguem.

Supondo-se que a tensão es seja um degrau cuja amplitude é igual a 100 V, então, em regime permanente, a tensão v1 será exatamente igual a .

enunciado 1751985-2

 

Provas

Questão presente nas seguintes provas
1751984 Ano: 2008
Disciplina: Engenharia Eletrônica
Banca: CESPE / CEBRASPE
Orgão: TJ-DFT

enunciado 1751984-1

A figura acima mostra um circuito elétrico alimentado por uma fonte de tensão ideal e s . Nesse circuito, os elementos elétricos são supostamente ideais, sendo que os capacitores de capacitâncias C 1 e C 2 encontram-se descarregados no instante de tempo — t — igual a zero. A partir dessas informações, julgue os itens que se seguem.

Supondo-se que a tensão de entrada seja dada por enunciado 1751984-2 V, então a amplitude da tensão de saída v2 será igual a

enunciado 1751984-3

 

Provas

Questão presente nas seguintes provas
1751983 Ano: 2008
Disciplina: Engenharia Eletrônica
Banca: CESPE / CEBRASPE
Orgão: TJ-DFT

enunciado 1751983-1

A figura acima mostra um circuito elétrico alimentado por uma fonte de tensão ideal e s . Nesse circuito, os elementos elétricos são supostamente ideais, sendo que os capacitores de capacitâncias C 1 e C 2 encontram-se descarregados no instante de tempo — t — igual a zero. A partir dessas informações, julgue os itens que se seguem.

Na situação em que R1 = R2 e C1 = C2, a função de transferência do circuito, definida como a relação entre a saída v2 e a entrada es , é igual a 0,5, independentemente da freqüência.

 

Provas

Questão presente nas seguintes provas
1751982 Ano: 2008
Disciplina: Engenharia Eletrônica
Banca: CESPE / CEBRASPE
Orgão: TJ-DFT

enunciado 1751982-1

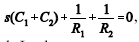
A figura acima mostra um circuito elétrico alimentado por uma fonte de tensão ideal e s . Nesse circuito, os elementos elétricos são supostamente ideais, sendo que os capacitores de capacitâncias C 1 e C 2 encontram-se descarregados no instante de tempo — t — igual a zero. A partir dessas informações, julgue os itens que se seguem.

A equação característica desse circuito pode ser corretamente expressa por enunciado 1751982-2, em que s é o operador da transformada de Laplace.

 

Provas

Questão presente nas seguintes provas
1165817 Ano: 2008
Disciplina: Direito Administrativo
Banca: CESPE / CEBRASPE
Orgão: TJ-DFT
Provas:

Acerca da Lei n.º 9.784/1999, que regula o processo administrativo no âmbito da administração pública federal, julgue os itens a seguir.

Se, para a prática de determinado ato, for obrigatória e vinculante a emissão de um parecer pelo órgão consultivo, a sua não-apresentação, dentro do prazo legal, não impedirá o seguimento do processo. Nessa hipótese, haverá apenas a responsabilização de quem se omitiu.

 

Provas

Questão presente nas seguintes provas
1165816 Ano: 2008
Disciplina: Direito Administrativo
Banca: CESPE / CEBRASPE
Orgão: TJ-DFT
Provas:

Acerca da Lei n.º 9.784/1999, que regula o processo administrativo no âmbito da administração pública federal, julgue os itens a seguir.

O não-comparecimento do administrado intimado para se defender importará na sua revelia e, conseqüentemente, no reconhecimento da verdade dos fatos não impugnados.

 

Provas

Questão presente nas seguintes provas
1165815 Ano: 2008
Disciplina: Direito Administrativo
Banca: CESPE / CEBRASPE
Orgão: TJ-DFT
Provas:

Acerca da Lei n.º 11.416/2006, que trata do Regime Jurídico das Carreiras de Servidores do Poder Judiciário da União, e do Regime Jurídico dos Servidores Públicos Civis Federais previsto na Lei n.º 8.112/1990 e na Constituição Federal, julgue os itens seguintes.

O servidor público que for nomeado em cargo público efetivo e não tomar posse no prazo legal será exonerado do cargo.

 

Provas

Questão presente nas seguintes provas
1165814 Ano: 2008
Disciplina: Legislação dos TRFs, STJ, STF e CNJ
Banca: CESPE / CEBRASPE
Orgão: TJ-DFT
Provas:

Acerca da Lei n.º 11.416/2006, que trata do Regime Jurídico das Carreiras de Servidores do Poder Judiciário da União, e do Regime Jurídico dos Servidores Públicos Civis Federais previsto na Lei n.º 8.112/1990 e na Constituição Federal, julgue os itens seguintes.

Nos quadros de pessoal dos órgãos do Poder Judiciário da União, 80% dos cargos em comissão, no mínimo, devem ser ocupados por servidores ocupantes de cargo efetivo.

 

Provas

Questão presente nas seguintes provas