Foram encontradas 1.028 questões.
De uma grande população X, será retirada, aleatoriamente, uma amostra simples de tamanho n para que seja estimada a taxa média m de satisfação do cliente. Considerando que a variância dessa população seja igual a 5 e que a média amostral
seja o estimador não tendencioso da taxa m, julgue o item a seguir.
De acordo com a lei forte dos grandes números, quase certamente, a média amostral converge para o valor m, desde que n seja finito e suficientemente grande.
seja o estimador não tendencioso da taxa m, julgue o item a seguir.De acordo com a lei forte dos grandes números, quase certamente, a média amostral converge para o valor m, desde que n seja finito e suficientemente grande.
Provas
Questão presente nas seguintes provas
De uma grande população X, será retirada, aleatoriamente, uma amostra simples de tamanho n para que seja estimada a taxa média m de satisfação do cliente. Considerando que a variância dessa população seja igual a 5 e que a média amostral
seja o estimador não tendencioso da taxa m, julgue o item a seguir.
Para garantir a convergência em probabilidade da média amostral para a taxa média m, a população pesquisada deverá ser, necessariamente, gaussiana ou normal.
seja o estimador não tendencioso da taxa m, julgue o item a seguir.Para garantir a convergência em probabilidade da média amostral para a taxa média m, a população pesquisada deverá ser, necessariamente, gaussiana ou normal.
Provas
Questão presente nas seguintes provas
De uma grande população X, será retirada, aleatoriamente, uma amostra simples de tamanho n para que seja estimada a taxa média m de satisfação do cliente. Considerando que a variância dessa população seja igual a 5 e que a média amostral
seja o estimador não tendencioso da taxa m, julgue o item a seguir.
Segundo a lei fraca dos grandes números, para qualquer amostra de tamanho superior a 100, tem-se que
.
seja o estimador não tendencioso da taxa m, julgue o item a seguir.Segundo a lei fraca dos grandes números, para qualquer amostra de tamanho superior a 100, tem-se que
.Provas
Questão presente nas seguintes provas
- Distribuições de ProbabilidadeDistribuições ContínuasNormal
- Estatística DescritivaMedidas de Dispersão
- Estatística DescritivaMedidas de Tendência Central
De uma grande população X, será retirada, aleatoriamente, uma amostra simples de tamanho n para que seja estimada a taxa média m de satisfação do cliente. Considerando que a variância dessa população seja igual a 5 e que a média amostral
seja o estimador não tendencioso da taxa m, julgue o item a seguir.
De acordo com o teorema limite central, o erro de estimação ε =
- m converge em distribuição para a normal, com média zero e variância 5.
seja o estimador não tendencioso da taxa m, julgue o item a seguir.De acordo com o teorema limite central, o erro de estimação ε =
- m converge em distribuição para a normal, com média zero e variância 5.Provas
Questão presente nas seguintes provas
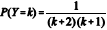
A distribuição do número de erros (Y) registrados em um sistema computacional, do instante T = 0 até o instante T = t, é descrita pela distribuição de probabilidade condicional na forma P(Y = k | X = t) = (1 - e-t)e-kt, em que k = 0, 1, 2, ... representa uma possível realização da variável aleatória Y e X representa uma distribuição exponencial com média unitária.
A distribuição de probabilidades da variável aleatória Y é dada por
, em que k = 0, 1, 2, ....
A distribuição de probabilidades da variável aleatória Y é dada por
, em que k = 0, 1, 2, ....Provas
Questão presente nas seguintes provas
- Gestão de PessoasComunicação
- Gestão Estratégica
- PODC: Processo OrganizacionalProcesso Administrativo: Controle
- Teorias da AdministraçãoAbordagem NeoclássicaTeoria Neoclássica da Administração
Com relação ao processo administrativo, julgue os itens a seguir.
Se o controle for considerado de forma isolada, deverá se remeter ao processo administrativo, contudo, se for visto em conjunto com as demais funções, ele deverá se integrar ao grupo denominado função administrativa.Provas
Questão presente nas seguintes provas
Acerca dos conceitos que envolvem a área comercial de empresas,
julgue o item subsequente.
A relação entre valor percebido e satisfação de clientes é negativa.
A relação entre valor percebido e satisfação de clientes é negativa.
Provas
Questão presente nas seguintes provas
No que se refere à evolução da administração e ao processo
administrativo, julgue os itens a seguir.
Uma das dificuldades do Balanced Scorecard (BSC) refere-se à ampliação do número de indicadores, dada a subjetividade dos indicadores não financeiros.administrativo, julgue os itens a seguir.
Provas
Questão presente nas seguintes provas
Acerca da gestão de pessoas nas organizações, julgue os itens a
seguir.
O princípio tradicional da gestão de pessoas — segundo o qual as pessoas devem ser geridas— foi substituído contemporaneamente pelo entendimento de que as pessoas devem ser lideradas, e não geridas.seguir.
Provas
Questão presente nas seguintes provas
Acerca das abordagens da administração geral e pública, julgue os
itens que se seguem.
A autoridade legal-racional é um fundamento da abordagem clássica da administração.itens que se seguem.
Provas
Questão presente nas seguintes provas
Cadernos
Caderno Container