Foram encontradas 161 questões.
A alienação de bens imóveis da Administração Pública
Provas
As compras, na Administração Pública, sempre que possível deverão
Provas
Assinale a opção incorreta.
É dispensada a licitação para a alienação de bens móveis da Administração Pública
Provas
A máquina administrativa brasileira passou por algumas reformas a partir dos anos 30.
A reforma operada em 1967 pelo Decreto-Lei nº 200 torna possível a
Provas
Constituem atividades que, no âmbito da Administração Pública Federal direta, autárquica e fundacional, poderão ser objeto de execução indireta
Provas
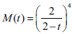
A função geratriz de momentos da variável aleatória X vem dada para t suficientemente pequeno por
![]()
Assinale a opção correta.
Provas
Uma lâmpada tem duração em horas (X) que obedece à lei probabilística definida pela função densidade de probabilidades

Assinale a opção que dá o desvio padrão da distribuição de X.
Provas
Uma variável aleatória X tem distribuição normal com média desconhecida !$ \mu !$ e variância 1. Assinale a opção que dá a amplitude do menor intervalo de confiança para !$ \mu !$, no nível de 96%, para uma amostra de X de tamanho 16.
Use no cálculo a tabela da função de distribuição da normal padrão apresentada:

Provas
Sejam X1, ... , X12 variáveis aleatórias uniformemente e independentemente distribuídas no intervalo (0;1). Assinale a opção que corresponde à aproximação do Teorema Central do Limite de

A tabela apresentada a seguir dá valores da função de distribuição F(x) da distribuição normal padrão aproximados a duas casas decimais.

Provas
Considere n repetições independentes de um ensaio onde se observa a ocorrência ou não de um evento E. Suponha que E ocorra com probabilidade 0,5.
Assinale a opção que corresponde ao valor de n que permite garantir que E vai ocorrer no mínimo uma vez com probabilidade 0,99.
Aproxime n para o inteiro imediatamente superior.
Provas
Caderno Container