Foram encontradas 1.318 questões.
- Demonstrações ContábeisBP: Balanço Patrimonial
- Normas ContábeisCPCsCPC 25: Provisões, Passivos e Ativos Contingentes
Uma companhia aberta que fabrica aparelhos celulares vende o seu produto oferecendo garantia ao cliente no momento da venda. No contrato de venda, o fabricante compromete-se a consertar, por meio de reparo ou substituição do aparelho, defeitos que vierem a se tornar aparentes dentro de três anos, a partir da data da venda. A experiência passada revela que é provável que haja reclamações dentro do período de cobertura da garantia. O fabricante tem condições de fazer uma estimativa confiável do valor com o qual terá que arcar em caso de danos nos aparelhos.
Com base na situação hipotética apresentada e nos pronunciamentos do Comitê de Pronunciamentos Contábeis, julgue o item que se segue.
O fabricante está diante de uma situação que configura a existência de um passivo contingente. Nesse caso, o procedimento contábil apropriado é a divulgação desse passivo contingente em notas explicativas.
O fabricante está diante de uma situação que configura a existência de um passivo contingente. Nesse caso, o procedimento contábil apropriado é a divulgação desse passivo contingente em notas explicativas.
Provas
Questão presente nas seguintes provas
Julgue o item seguinte, acerca do AUTOCAD 2015.
O painel apresentado abaixo ilustra recursos relativos a comandos de construção, os quais são apropriados para desenhar entidades gráficas utilizadas para introduzir melhorias em um desenho, à medida que ele vai sendo produzido.

O painel apresentado abaixo ilustra recursos relativos a comandos de construção, os quais são apropriados para desenhar entidades gráficas utilizadas para introduzir melhorias em um desenho, à medida que ele vai sendo produzido.

Provas
Questão presente nas seguintes provas
Com relação a um sistema de comunicações que deverá utilizar um
sinal com largura de banda de 4 kHz e às tecnologias pertinentes a
esse sistema, julgue o item a seguir. Nesse sentido, considere que
a sigla BPSK, sempre que empregada, se refere a binary phase shift
keying.
Para se obter uma taxa de transmissão de 64 kbps, será necessário utilizar uma codificação de 8 bits do sinal.
Para se obter uma taxa de transmissão de 64 kbps, será necessário utilizar uma codificação de 8 bits do sinal.
Provas
Questão presente nas seguintes provas
Com relação a um sistema de comunicações que deverá utilizar um sinal com largura de banda de 4 kHz e às tecnologias pertinentes a esse sistema, julgue o item a seguir. Nesse sentido, considere que a sigla BPSK, sempre que empregada, se refere a binary phase shift keying.
Em comparação com a modulação FM, a modulação AM apresenta maior robustez à interferência do ruído e requer maior banda para a transmissão.
Em comparação com a modulação FM, a modulação AM apresenta maior robustez à interferência do ruído e requer maior banda para a transmissão.
Provas
Questão presente nas seguintes provas
A figura a seguir ilustra de forma correta a constelação que
será apresentada pelo referido sistema caso seja adotada a
modulação digital BPSK.


Provas
Questão presente nas seguintes provas
Com relação a um sistema de comunicações que deverá utilizar um sinal com largura de banda de 4 kHz e às tecnologias pertinentes a esse sistema, julgue o item a seguir. Nesse sentido, considere que a sigla BPSK, sempre que empregada, se refere a binary phase shift keying.
Ao se modular o sinal em amplitude, será possível aumentar o desempenho do sistema suprimindo-se a portadora ou a transmissão de uma das metades da banda do sinal.
Ao se modular o sinal em amplitude, será possível aumentar o desempenho do sistema suprimindo-se a portadora ou a transmissão de uma das metades da banda do sinal.
Provas
Questão presente nas seguintes provas
- Controladores (Proporcional, PI e PID)
- Diagrama de Blocos
- Função de Transferência
- Sistemas de Controle

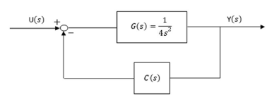
Considerando o sistema de controle ilustrado na figura apresentada, em que C(s) representa um controlador, julgue o próximo item com referência à análise de estabilidade.
Provas
Questão presente nas seguintes provas

Considerando o sistema de controle ilustrado na figura apresentada, em que C(s) representa um controlador, julgue o próximo item com referência à análise de estabilidade.
Provas
Questão presente nas seguintes provas
- Controladores (Proporcional, PI e PID)
- Diagrama de Blocos
- Função de Transferência
- Sistemas de Controle

Considerando o sistema de controle ilustrado na figura apresentada, em que C(s) representa um controlador, julgue o próximo item com referência à análise de estabilidade.
Provas
Questão presente nas seguintes provas
Caso a modulação digital BPSK seja utilizada para
implementar o projeto, será possível transmitir a uma taxa de
dados maior e com a mesma largura de banda em comparação
com a modulação QPSK (quadrature phase shift keying).
Provas
Questão presente nas seguintes provas
Cadernos
Caderno Container