Foram encontradas 510 questões.
Com relação a combinatória, cada um dos itens
subseqüentes apresenta uma situação hipotética,
seguida de uma assertiva a ser julgada.
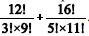
Em um tribunal, deve ser formada uma comissão de 8 pessoas, que serão escolhidas entre 12 técnicos de informática e 16 técnicos administrativos. A comissão deve ser composta por 3 técnicos de informática e 5 técnicos administrativos. Nessa situação, a quantidade de maneiras distintas de se formar a comissão pode ser corretamente representada porsubseqüentes apresenta uma situação hipotética,
seguida de uma assertiva a ser julgada.

Provas
Questão presente nas seguintes provas

O julgamento de uma proposição composta depende do julgamento que se faz de suas proposições componentes mais simples.
Por exemplo, considerando-se todos os possíveis julgamentos, ou valorações, V ou F das proposições simples A e B, tem-se
a seguinte tabela-verdade para as proposições compostas indicadas.

Duas equivalências fundamentais são as denominadas Leis de De Morgan:


Tendo como referência as informações acima, julgue os itens que se seguem.


Provas
Questão presente nas seguintes provas

O julgamento de uma proposição composta depende do julgamento que se faz de suas proposições componentes mais simples.
Por exemplo, considerando-se todos os possíveis julgamentos, ou valorações, V ou F das proposições simples A e B, tem-se
a seguinte tabela-verdade para as proposições compostas indicadas.

Duas equivalências fundamentais são as denominadas Leis de De Morgan:


Tendo como referência as informações acima, julgue os itens que se seguem.
e
, é correto afirmar que P e Q têm a mesma valoração.Provas
Questão presente nas seguintes provas

O julgamento de uma proposição composta depende do julgamento que se faz de suas proposições componentes mais simples.
Por exemplo, considerando-se todos os possíveis julgamentos, ou valorações, V ou F das proposições simples A e B, tem-se
a seguinte tabela-verdade para as proposições compostas indicadas.

Duas equivalências fundamentais são as denominadas Leis de De Morgan:


Tendo como referência as informações acima, julgue os itens que se seguem.
A: Júlia gosta de peixe.
B: Júlia não gosta de carne vermelha. Nesse caso, a proposição "Júlia não gosta de peixe, mas gosta de carne vermelha" está corretamente simbolizada por

Provas
Questão presente nas seguintes provas
825188
Ano: 2008
Disciplina: Administração Financeira e Orçamentária
Banca: CESPE / CEBRASPE
Orgão: STJ
Disciplina: Administração Financeira e Orçamentária
Banca: CESPE / CEBRASPE
Orgão: STJ
O ciclo orçamentário corresponde a um período de quatro anos, que tem início com a elaboração do PPA e se encerra com
o julgamento da última prestação de contas do Poder Executivo pelo Poder Legislativo. Trata-se, portanto, de um processo dinâmico
e contínuo, com várias etapas articuladas entre si, por meio das quais sucessivos orçamentos são discutidos, elaborados, aprovados,
executados, avaliados e julgados.
Tendo o texto acima como referência inicial, julgue os itens que se seguem.
O princípio do equilíbrio orçamentário é o parâmetro para a elaboração da LOA, o qual prescreve que os valores fixados para a realização das despesas deverão ser compatíveis com os valores previstos para a arrecadação das receitas. Contudo, durante a execução orçamentária, poderá haver frustração da arrecadação, tornando-se necessário limitar as despesas para adequá-las aos recursos arrecadados.o julgamento da última prestação de contas do Poder Executivo pelo Poder Legislativo. Trata-se, portanto, de um processo dinâmico
e contínuo, com várias etapas articuladas entre si, por meio das quais sucessivos orçamentos são discutidos, elaborados, aprovados,
executados, avaliados e julgados.
Tendo o texto acima como referência inicial, julgue os itens que se seguem.
Provas
Questão presente nas seguintes provas
- Lei 4.320/1964: Normas Gerais de Direito FinanceiroDecreto Sobre a Programação Orçamentária e Financeira - Lei 4.320 de 1964
Julgue os itens a seguir, que versam acerca de noções de
administração financeira e administração de recursos humanos.
Uma organização que adota o regime de competência reconhece as receitas e despesas apenas quando ocorrem entradas e saídas efetivas do caixa da organização.administração financeira e administração de recursos humanos.
Provas
Questão presente nas seguintes provas
825186
Ano: 2008
Disciplina: Administração Financeira e Orçamentária
Banca: CESPE / CEBRASPE
Orgão: STJ
Disciplina: Administração Financeira e Orçamentária
Banca: CESPE / CEBRASPE
Orgão: STJ
Considere, por mera hipótese, que o presidente do STJ resolva abrir,
ao orçamento fiscal do tribunal, crédito suplementar no valor de
R$ 100.000,00 para atender ao pagamento de precatório de sentença
judicial transitada em julgado. Em face dessa consideração, julgue os
itens subseqüentes.
Os recursos para abertura do referido crédito suplementar podem ser constituídos pelo excesso de arrecadação, pelo superavit financeiro apurado em balanço patrimonial do exercício anterior, do produto de operações de crédito autorizadas e pela anulação parcial ou total de dotações orçamentárias ou de créditos adicionais. Contudo, as alterações promovidas na programação orçamentária têm de compatibilizar-se com a obtenção da meta de resultado primário estabelecida no Anexo de Metas Fiscais da LDO.ao orçamento fiscal do tribunal, crédito suplementar no valor de
R$ 100.000,00 para atender ao pagamento de precatório de sentença
judicial transitada em julgado. Em face dessa consideração, julgue os
itens subseqüentes.
Provas
Questão presente nas seguintes provas
O STJ faz questão de dar transparência às suas contas, em
atendimento ao princípio constitucional da publicidade. Por isso,
publica periodicamente na Internet os seus Relatórios de Gestão
Fiscal. A prática segue o disposto na LRF - LC n.º 101/2000.
Assim, na Internet, é possível acessar os demonstrativos contábeis do
STJ, bem como as resoluções internas que aprovam os respectivos
relatórios de gestão.
Internet: (com adaptações).
Tendo o fragmento de texto acima como referência inicial, julgue os
itens a seguir.
Qualquer cidadão pode ter acesso aos dados orçamentários da União, do estado e do município, pois a LRF assegura ampla divulgação, inclusive em meios eletrônicos de acesso público, de planos, orçamentos e leis de diretrizes orçamentárias; prestações de contas e respectivo parecer prévio; do Relatório Resumido da Execução Orçamentária e do Relatório de Gestão Fiscal.atendimento ao princípio constitucional da publicidade. Por isso,
publica periodicamente na Internet os seus Relatórios de Gestão
Fiscal. A prática segue o disposto na LRF - LC n.º 101/2000.
Assim, na Internet, é possível acessar os demonstrativos contábeis do
STJ, bem como as resoluções internas que aprovam os respectivos
relatórios de gestão.
Internet:
Tendo o fragmento de texto acima como referência inicial, julgue os
itens a seguir.
Provas
Questão presente nas seguintes provas
O STJ faz questão de dar transparência às suas contas, em
atendimento ao princípio constitucional da publicidade. Por isso,
publica periodicamente na Internet os seus Relatórios de Gestão
Fiscal. A prática segue o disposto na LRF - LC n.º 101/2000.
Assim, na Internet, é possível acessar os demonstrativos contábeis do
STJ, bem como as resoluções internas que aprovam os respectivos
relatórios de gestão.
Internet: (com adaptações).
Tendo o fragmento de texto acima como referência inicial, julgue os
itens a seguir.
Ao final de cada quadrimestre, o presidente do STJ, em conjunto com o responsável pela administração financeira, tem de assinar o relatório de gestão fiscal, que deve conter, entre outras informações, o montante gasto com a despesa com pessoal. No último quadrimestre, o relatório de gestão fiscal tem de apresentar também o demonstrativo da inscrição em restos a pagar, das despesas liquidadas e das não-inscritas por falta de disponibilidade de caixa e cujos empenhos tenham sido cancelados.atendimento ao princípio constitucional da publicidade. Por isso,
publica periodicamente na Internet os seus Relatórios de Gestão
Fiscal. A prática segue o disposto na LRF - LC n.º 101/2000.
Assim, na Internet, é possível acessar os demonstrativos contábeis do
STJ, bem como as resoluções internas que aprovam os respectivos
relatórios de gestão.
Internet:
Tendo o fragmento de texto acima como referência inicial, julgue os
itens a seguir.
Provas
Questão presente nas seguintes provas
825183
Ano: 2008
Disciplina: Administração Financeira e Orçamentária
Banca: CESPE / CEBRASPE
Orgão: STJ
Disciplina: Administração Financeira e Orçamentária
Banca: CESPE / CEBRASPE
Orgão: STJ
O ciclo orçamentário corresponde a um período de quatro anos, que tem início com a elaboração do PPA e se encerra com
o julgamento da última prestação de contas do Poder Executivo pelo Poder Legislativo. Trata-se, portanto, de um processo dinâmico
e contínuo, com várias etapas articuladas entre si, por meio das quais sucessivos orçamentos são discutidos, elaborados, aprovados,
executados, avaliados e julgados.
Tendo o texto acima como referência inicial, julgue os itens que se seguem.
Dependerá de lei complementar a regulamentação do PPA, da LDO e do orçamento anual, no tocante a exercício financeiro, vigência, prazos, elaboração e organização. A referida lei deverá estabelecer normas de gestão financeira e patrimonial da administração direta e indireta e condições para instituição e funcionamento dos fundos. Enquanto isso, na esfera federal, os prazos para o ciclo orçamentário estão estabelecidos no ADCT.o julgamento da última prestação de contas do Poder Executivo pelo Poder Legislativo. Trata-se, portanto, de um processo dinâmico
e contínuo, com várias etapas articuladas entre si, por meio das quais sucessivos orçamentos são discutidos, elaborados, aprovados,
executados, avaliados e julgados.
Tendo o texto acima como referência inicial, julgue os itens que se seguem.
Provas
Questão presente nas seguintes provas
Cadernos
Caderno Container