Foram encontradas 120 questões.
Com relação aos sujeitos do processo, envolvendo não só as partes propriamente ditas, mas também outros participantes na relação processual, como o juiz, o Ministério Público, o acusado, o defensor, os assistentes e os auxiliares da justiça, assinale a alternativa correta.
Provas
Questão presente nas seguintes provas
240928
Ano: 2010
Disciplina: Direito Empresarial (Comercial)
Banca: FUNIVERSA
Orgão: SPTC-GO
Disciplina: Direito Empresarial (Comercial)
Banca: FUNIVERSA
Orgão: SPTC-GO
Provas:
As sociedades constituem um tipo de pessoa jurídica de direito privado. Celebram contrato de sociedade as pessoas que reciprocamente se obrigam a contribuir, com bens ou serviços, para o exercício de atividade econômica e a partilha, entre si, dos resultados. Com relação às sociedades empresárias, assinale a alternativa correta.
Provas
Questão presente nas seguintes provas
Nos crimes contra a fé pública, é incorreto afirmar que
Provas
Questão presente nas seguintes provas
- Código PenalCrimes Contra a Administração PúblicaPraticados por Funcionário PúblicoConcussão e Excesso de Exação
- Código PenalCrimes Contra a Administração PúblicaPraticados por Funcionário PúblicoPeculato
- Código PenalCrimes Contra a Administração PúblicaPraticados por Funcionário PúblicoCorrupção Passiva
- Código PenalCrimes Contra a Administração PúblicaPraticados por Funcionário PúblicoPrevaricação
- Código PenalCrimes Contra a Administração PúblicaPraticados por ParticularCorrupção ativa
Um agente tributário, em auditoria realizada na empresa MMM Maravilha Ltda., mesmo sabendo que era indevida a contribuição social, tendo em vista a comprovação, pela empresa, do recolhimento do tributo naquele mês, ainda assim exigiu de seus sócios o recolhimento de tal contribuição, empregando-lhes na cobrança meio vexatório perante os empregados. Nessa situação hipotética, a conduta do agente é tipificada no Código Penal como
Provas
Questão presente nas seguintes provas
- FundamentosPropriedades das Substâncias
- Química InorgânicaGeometria Molecular, Polaridade e Forças Intermoleculares
O modelo da repulsão dos pares de elétrons da camada de valência (VSPER) amplia a teoria da ligação química de Lewis para explicar as formas das moléculas. De acordo com essa teoria, assinale a alternativa correta, considerando os seguintes números atômicos: H = 1; Be = 4; C = 6; F = 9; P = 15; Cl = 17; e I = 53.
Provas
Questão presente nas seguintes provas
Com relação à tabela periódica e às reações de oxidorredução, assinale a alternativa correta.
Provas
Questão presente nas seguintes provas
Na natureza, as substâncias e os elementos não são encontrados em estado puro. Para a obtenção das substâncias puras, é necessário fazer a extração e a purificação delas. Para isso, são usados processos físicos e químicos. Com relação a esse assunto, assinale a alternativa correta.
Provas
Questão presente nas seguintes provas
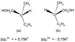
Um químico recebeu uma amostra suspeita de conter uma mistura isomérica do 2-metil 1-butanol. Após a separação dos isômeros, foi possível determinar as rotações específicas de cada isômero, conforme mostrado nas estruturas (a) e (b) a seguir.

Com base nessas informações, assinale a alternativa correta.

Com base nessas informações, assinale a alternativa correta.
Provas
Questão presente nas seguintes provas
A atmosfera terrestre é uma mistura de gases essenciais à vida. Por que eles estão no estado gasoso? Essa mistura gasosa é, principalmente, constituída de nitrogênio (~78%) e oxigênio (~21%); além desses gases, existem vários outros gases, até mesmo alguns poluentes. Para entender o comportamento dos gases, foi desenvolvida a Lei dos Gases, aplicada a gases ideais, que considera a influência das variações de pressão, volume e temperatura nos gases. A respeito desse assunto, assinale a alternativa correta.
Provas
Questão presente nas seguintes provas
- Química InorgânicaSoluções e Substâncias InorgânicasSubstâncias Inorgânicas: dissociação iônica e ionização, conceitos de ácido-base
- Sistemas de EquilíbrioSistemas Homogêneos: Equilíbrio Químico na Água
- Sistemas de EquilíbrioSistemas Homogêneos: Constantes: Kc e Kp. Deslocamento do Equilíbrio: Fatores
Os ácidos e as bases são substâncias muito encontradas na natureza. Os ácidos apresentam sabor azedo, e as bases são adstringentes. Essas substâncias são largamente estudadas e bem definidas. Assinale a alternativa correta acerca desse tema.
Provas
Questão presente nas seguintes provas
Cadernos
Caderno Container