Foram encontradas 3.094 questões.

A partir das idéias explícitas e implícitas no texto LP-I, julgue os itens abaixo.
Segundo os especialistas, o prazer daqueles que inventam e fazem circular histórias de fundo apelativo ou informativo é transformarem-se em destinatários das mensagens por eles próprios criadas.
Provas
- Interpretação de TextosPressupostos e Subentendidos
- Interpretação de TextosTipologia e Gênero TextualTipologias TextuaisTexto Dissertativo-argumentativoEstratégias Argumentativas

A partir das idéias explícitas e implícitas no texto LP-I, julgue os itens abaixo.
A circulação de algumas mensagens, como a de se ter os "rins retirados e acordar em uma banheira de gelo" (l.2-3), de caráter jocoso e assustador, pode partir do princípio de que alguns usuários desse tipo de comunicação são ingênuos — acatam e divulgam, sem julgamento prévio, tudo o que lêem.
Provas

A partir das idéias explícitas e implícitas no texto LP-I, julgue os itens abaixo.
A grande maioria das pessoas que vivem nos centros urbanos costuma receber mensagens eletrônicas apelativas, com propagandas de instituições comerciais ou com solicitações de auxílio, principalmente envolvendo crianças e(ou) velhos doentes.
Provas
A noção de conjunto fornece uma interpretação concreta para algumas idéias de natureza lógica que são fundamentais para a Matemática e o desenvolvimento do raciocínio. Por exemplo, a implicação lógica denotada por p - q pode ser interpretada como uma inclusão entre conjuntos, ou seja, como
em que P é o conjunto cujos objetos cumprem a condição p, e Q é o conjunto cujos objetos cumprem a condição q.
Com o auxílio do texto acima, julgue se a proposição apresentada em cada item a seguir é equivalente à sentença abaixo.

O conjunto de indivíduos que estão inscritos no concurso do Senado Federal ou que podem ter acesso às provas desse concurso está contido neste último conjunto.
Provas
- Lógica ProposicionalConectivos LógicosCondicional "se....então"
- Lógica ProposicionalEquivalências Lógicas
A noção de conjunto fornece uma interpretação concreta para algumas idéias de natureza lógica que são fundamentais para a Matemática e o desenvolvimento do raciocínio. Por exemplo, a implicação lógica denotada por p - q pode ser interpretada como uma inclusão entre conjuntos, ou seja, como
em que P é o conjunto cujos objetos cumprem a condição p, e Q é o conjunto cujos objetos cumprem a condição q.
Com o auxílio do texto acima, julgue se a proposição apresentada em cada item a seguir é equivalente à sentença abaixo.

O conjunto de indivíduos que podem ter acesso às provas do concurso do Senado Federal é igual ao conjunto de indivíduos que estão inscritos nesse concurso.
Provas
A noção de conjunto fornece uma interpretação concreta para algumas idéias de natureza lógica que são fundamentais para a Matemática e o desenvolvimento do raciocínio. Por exemplo, a implicação lógica denotada por p - q pode ser interpretada como uma inclusão entre conjuntos, ou seja, como
em que P é o conjunto cujos objetos cumprem a condição p, e Q é o conjunto cujos objetos cumprem a condição q.
Com o auxílio do texto acima, julgue se a proposição apresentada em cada item a seguir é equivalente à sentença abaixo.

Se um indivíduo pode ter acesso às provas do concurso do Senado Federal, então ele está inscrito nesse concurso.
Provas
A noção de conjunto fornece uma interpretação concreta para algumas idéias de natureza lógica que são fundamentais para a Matemática e o desenvolvimento do raciocínio. Por exemplo, a implicação lógica denotada por p - q pode ser interpretada como uma inclusão entre conjuntos, ou seja, como
em que P é o conjunto cujos objetos cumprem a condição p, e Q é o conjunto cujos objetos cumprem a condição q.
Com o auxílio do texto acima, julgue se a proposição apresentada em cada item a seguir é equivalente à sentença abaixo.

O conjunto de indivíduos que não podem ter acesso às provas do concurso do Senado Federal e que estão inscritos nesse concurso é vazio.
Provas
- Lógica ProposicionalConectivos LógicosCondicional "se....então"
- Lógica ProposicionalEquivalências Lógicas
A noção de conjunto fornece uma interpretação concreta para algumas idéias de natureza lógica que são fundamentais para a Matemática e o desenvolvimento do raciocínio. Por exemplo, a implicação lógica denotada por p - q pode ser interpretada como uma inclusão entre conjuntos, ou seja, como
em que P é o conjunto cujos objetos cumprem a condição p, e Q é o conjunto cujos objetos cumprem a condição q.
Com o auxílio do texto acima, julgue se a proposição apresentada em cada item a seguir é equivalente à sentença abaixo.

Se um indivíduo não pode ter acesso às provas do concurso do Senado Federal, então ele não está inscrito nesse concurso.
Provas
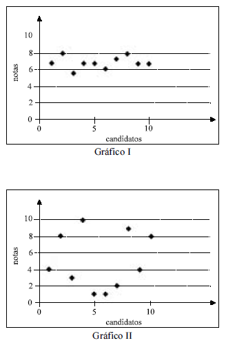
Suponha que os gráficos I e II abaixo representem, respectivamente, as notas na prova de Língua Portuguesa, que tem um valor máximo de 10 pontos, obtidas por 10 candidatos a cada um dos cargos de Consultor Legislativo e Consultor de Orçamentos do Senado Federal. Nessa situação, é correto afirmar que o desvio-padrão da série de notas do gráfico I é maior que o da série de notas do gráfico II.

Provas
Considere os resultados apresentados na tabela abaixo, que foram obtidos a partir de informação da Fundação Coordenação de Aperfeiçoamento de Pessoal de Nível Superior (CAPES), acerca dos programas de pós-graduação no Brasil avaliados no ano 2000.

Provas
Caderno Container