Foram encontradas 200 questões.
Observe os dados abaixo e responda as questões de números 51 a 60:

Uma empresa apresenta 9 títulos de mesmo valor para serem descontados em um banco. Sabe-se que a taxa de desconto é de 2,8% ao mês, que os títulos vencem de 30 em 30 dias, a partir da data de entrega do borderô, e que o valor líquido creditado em favor da empresa correspondeu a R$ 25.000,00, o valor de cada título é: 
Provas
Questão presente nas seguintes provas
Observe os dados abaixo e responda as questões de números 51 a 60:

Uma empresa contrata em um banco um empréstimo hot money de R$50.000,00 pelo prazo de um dia útil. A taxa de negociação firmada é de 4,1% ao mês, mais um spread de 0,4% para o período. O pagamento do montante a pagar e o custo efetivo da operação ao dia, no período, foram, respectivamente, iguais a: 
Provas
Questão presente nas seguintes provas
- Conceitos Fundamentais
- Juros (Capitalização)Relação entre Juros Simples e CompostosTaxa Aparente, Taxa de Juros Reais e Inflação
Observe os dados abaixo e responda as questões de números 51 a 60:

Sabe-se que o preço à vista de um imóvel é R$ 78.000,00. 
Na hipótese de se oferecer uma entrada de 40%, o saldo restante após um semestre, sabe-se que a taxa de inflação projetada para um ano atinge 21%, o valor desse pagamento é equivalente a:
Provas
Questão presente nas seguintes provas
A curva de demanda de uma empresa perfeitamente competitiva é representada por P = 300, enquanto a curva de custo total é representada por CT = 25Q² + 200Q + 50. Essa empresa atinge seu lucro máximo ao produzir a seguinte quantidade de unidades:
Provas
Questão presente nas seguintes provas
Em um triângulo retângulo, um ângulo interno vale 30° e o cateto oposto a esse ângulo mede √√3 . A hipotenusa desse triângulo mede:
Provas
Questão presente nas seguintes provas
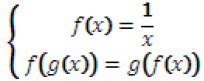
Duas funções reais, f(x) e g(x), têm as seguintes propriedades:

Dentre as opções abaixo, aquela que apresenta uma possível função g(x) é:

Dentre as opções abaixo, aquela que apresenta uma possível função g(x) é:
Provas
Questão presente nas seguintes provas
Determinado Estado da federação apurou, com pessoal, despesas totais de R$ 10.838.711.748,00, e com Receita Corrente Líquida de R$ 39.332.479.719,00. Com base nesses dados, pode- se afirmar que o limite máximo de despesas com pessoal estipulado pela LRF para esse Estado deverá ser de:
Provas
Questão presente nas seguintes provas
O Estado do Rio de Janeiro apurou, em determinado período, o montante de R$ 29,532 bilhões a título de Receita Corrente Líquida, e, no mesmo período, apurou um montante de 179,014 milhões de operações de crédito internas e externas. Com base nessas informações, o limite para essas operações não poderá ultrapassar o montante de:
Provas
Questão presente nas seguintes provas
Observe os dados abaixo e responda as questões de números 51 a 60:

Um banco libera a um cliente R$ 6.800,00 provenientes do desconto de um título no valor nominal de R$ 9.0000,00, descontado à taxa de 4% ao mês. O título foi descontado no seguinte prazo de antecipação: 
Provas
Questão presente nas seguintes provas
Observe os dados abaixo e responda as questões de números 51 a 60:

Um título foi descontado 5 meses antes de seu vencimento, à taxa de 3% ao mês. Sabe-se que esta operação produziu um desconto de R$ 39.000,00. Admitindo-se o conceito de desconto composto “por fora”, o valor nominal do título era: 
Provas
Questão presente nas seguintes provas
Cadernos
Caderno Container