Foram encontradas 380 questões.
Considerando que f(x) = 2 x − 2 −x , assinale a opção que corresponde ao valor de f -1(−2) .
Provas
Questão presente nas seguintes provas
Certa criança quer subir uma escada com 12 degraus, de
modo a subir 1 ou 2 degraus de cada vez.
A partir dessa situação hipotética, assinale a opção que corresponde à quantidade de formas distintas que a criança poderá subir essa escada.
A partir dessa situação hipotética, assinale a opção que corresponde à quantidade de formas distintas que a criança poderá subir essa escada.
Provas
Questão presente nas seguintes provas
José está preparando uma pizza e a deixa pré-cortada em
8 fatias iguais. Ele decide colocar queijo azul em 3 fatias, mas,
para que o sabor não fique forte demais, o queijo não pode ficar
em duas fatias vizinhas.
A partir dessa situação hipotética, é correto afirmar que a quantidade de maneiras diferentes que José poderá escolher as 3 fatias para colocar o queijo azul na pizza corresponde a
A partir dessa situação hipotética, é correto afirmar que a quantidade de maneiras diferentes que José poderá escolher as 3 fatias para colocar o queijo azul na pizza corresponde a
Provas
Questão presente nas seguintes provas
Durante o surto de uma doença respiratória em certa
cidade, observou-se nos registros epidemiológicos que 3 pessoas
adoeceram na primeira semana, outras 9 pessoas na segunda
semana e outras 27 pessoas na terceira semana. Seguindo essa
mesma lógica, o número de doentes aumentou semanalmente, até
que, na oitava semana do surto, 16% da população da cidade já
havia ficado doente.
A partir das informações fornecidas na situação hipotética precedente, é correto inferir que a cidade em questão possui
A partir das informações fornecidas na situação hipotética precedente, é correto inferir que a cidade em questão possui
Provas
Questão presente nas seguintes provas
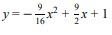
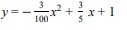
Certo bombeiro, ao combater um incêndio, lançou um jato
de água cuja trajetória é parabólica. Sabe-se que a mangueira foi
segurada a 1 metro de altura e que a altura máxima que o jato de
água pode atingir é de 10 metros, a 4 metros de distância do
bombeiro.
A partir das informações fornecidas na situação hipotética precedente, assinale a opção que corresponde à equação da trajetória parabólica do jato de água, em que y denota a altura do jato em relação ao solo e x, a distância do jato em relação ao bombeiro, ambos em metros.
A partir das informações fornecidas na situação hipotética precedente, assinale a opção que corresponde à equação da trajetória parabólica do jato de água, em que y denota a altura do jato em relação ao solo e x, a distância do jato em relação ao bombeiro, ambos em metros.
Provas
Questão presente nas seguintes provas
Assinale a opção que corresponde ao domínio real da função f (x)= log2 (x) x log2 ( x -3 ).
Provas
Questão presente nas seguintes provas
Considerando um triângulo ABC, tal que
e
, assinale a opção que corresponde ao comprimento do
segmento 
Provas
Questão presente nas seguintes provas
Assinale a opção que corresponde à equação que descreve o
plano paralelo ao plano P1: 2x + y + 2z = 2 e que está a
5 unidades de distância de P1.
Provas
Questão presente nas seguintes provas
Assinale a opção que apresenta corretamente o conjunto de todos
os valores reais de m para que o sistema linear abaixo tenha uma
única solução.
mx + 2m2y = 2 - x +3y = 1
mx + 2m2y = 2 - x +3y = 1
Provas
Questão presente nas seguintes provas
Em uma turma do 7.º ano do ensino fundamental, o professor propôs uma atividade em que os estudantes deveriam
desenvolver um programa que armazenasse um cadastro de grupos de pessoas, com os dados de nome, telefone e data de nascimento
(dia, mês, ano), e realizasse consultas, como identificação das pessoas cadastradas que fazem aniversário em determinado mês.
De acordo com o documento complementar à BNCC no tocante à computação (BNCC Computação), a atividade proposta pelo professor nessa situação hipotética atende ao eixo denominado
De acordo com o documento complementar à BNCC no tocante à computação (BNCC Computação), a atividade proposta pelo professor nessa situação hipotética atende ao eixo denominado
Provas
Questão presente nas seguintes provas
Cadernos
Caderno Container