Foram encontradas 1.020 questões.
Diluições são procedimentos frequentes em laboratórios biológicos e químicos. De uma maneira geral,
prepara-se uma solução que serve como estoque e,
de acordo com a necessidade, utiliza-se essa solução para preparar uma solução mais diluída. Suponha
que um técnico tenha uma solução estoque de HCl
de concentração 2,0 M e precise preparar 50 mL de
solução de HCl a 0,2 M.
A quantidade de solução estoque a ser utilizada pelo técnico nesse caso é, em mL, igual a
A quantidade de solução estoque a ser utilizada pelo técnico nesse caso é, em mL, igual a
Provas
Questão presente nas seguintes provas
Misturas são substâncias com as quais nos deparamos
cotidianamente e com elas realizamos muitas atividades.
Uma delas diz respeito à separação dos componentes
dessa mistura para um determinado objetivo.
O tipo de mistura, o exemplo, a natureza e a técnica de separação estão, respectivamente, discriminados em:
O tipo de mistura, o exemplo, a natureza e a técnica de separação estão, respectivamente, discriminados em:
Provas
Questão presente nas seguintes provas
Considere as reações químicas representadas a seguir
(1) CaCO3 → CaO + CO2
(2) CO2 + H2O + NH3 → NH4HCO3
As reações (1) e (2) descritas são classificadas, respectivamente, como
(1) CaCO3 → CaO + CO2
(2) CO2 + H2O + NH3 → NH4HCO3
As reações (1) e (2) descritas são classificadas, respectivamente, como
Provas
Questão presente nas seguintes provas
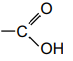
O salmão é fonte de nutrientes conhecidos como ácidos
graxos ômega-3, que não são sintetizados pelo nosso
corpo e precisam ser obtidos da dieta. São ácidos carboxílicos de cadeia longa e insaturada. Essas substâncias
apresentam o radical ácido carboxílico, representado
corretamente em:
Provas
Questão presente nas seguintes provas
A seguir estão representados dois conjuntos de ligações
(1 e 2), envolvendo 4 pilhas, de 1,5 V em cada conjunto.
(https://www.electronica-pt.com/associacao-baterias/Adaptado)
As tensões em Volts, em X e em Y, são, respectivamente, iguais a
(https://www.electronica-pt.com/associacao-baterias/Adaptado)
As tensões em Volts, em X e em Y, são, respectivamente, iguais a
Provas
Questão presente nas seguintes provas
A ilustração a seguir mostra feixes luminosos (conjuntos de
raios luminosos), incidindo em 3 tipos de objetos, indicados
pelos números 1, 2 e 3. As direções de propagação dos
raios luminosos estão indicadas por setas.
(Arquivo pessoal; imagem usada com autorização)
Considerando a trajetória dos raios luminosos, os objetos 1, 2 e 3 são, respectivamente,
(Arquivo pessoal; imagem usada com autorização)
Considerando a trajetória dos raios luminosos, os objetos 1, 2 e 3 são, respectivamente,
Provas
Questão presente nas seguintes provas
Uma bola é jogada do alto de um edifício e depois de
5 segundos, atinge o solo.
Sabendo-se que ela partiu do repouso, desprezando a resistência do ar e considerando a aceleração da gravidade igual a 10,0 m/s2, a velocidade em que ela atinge o solo em km/h é de
Sabendo-se que ela partiu do repouso, desprezando a resistência do ar e considerando a aceleração da gravidade igual a 10,0 m/s2, a velocidade em que ela atinge o solo em km/h é de
Provas
Questão presente nas seguintes provas
Uma locomotiva de massa igual a 25000 kg tem acoplados a ela três vagões, sendo um de 5000 kg e os outros
dois com 15000 kg cada um.
Considerando que a aceleração desse conjunto é de 0,5 m/s2, a força que está sendo aplicada para a movimentação dele é, em N, igual a
Considerando que a aceleração desse conjunto é de 0,5 m/s2, a força que está sendo aplicada para a movimentação dele é, em N, igual a
Provas
Questão presente nas seguintes provas
A aceleração de um corpo é representada no gráfico a
seguir.
(Arquivo pessoal; imagem usada com autorização)
Considerando os tempos indicados no gráfico, é correto afirmar que entre os instantes
(Arquivo pessoal; imagem usada com autorização)
Considerando os tempos indicados no gráfico, é correto afirmar que entre os instantes
Provas
Questão presente nas seguintes provas
Um casal tem um filho. O casal pertence ao mesmo grupo
sanguíneo tanto no sistema ABO quanto no sistema Rh.
O filho pertence a um grupo sanguíneo diferente do grupo
dos pais, tanto no sistema ABO quanto no sistema Rh, e
pode doar sangue, se necessário, para qualquer um dos
pais.
Considerando essas informações, uma situação possível seria
Considerando essas informações, uma situação possível seria
Provas
Questão presente nas seguintes provas
Cadernos
Caderno Container