Foram encontradas 374 questões.

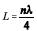
O esquema acima representa o funcionamento do ouvido humano, em que os sons externos produzem uma variação de pressão no ar, no interior do canal auditivo, fazendo a membrana (tímpano) vibrar. Esse sistema, que funciona de forma equivalente à propagação de ondas sonoras em tubos, possui uma das extremidades fechadas por uma membrana (tímpano). Desse modo, o ser humano pode ouvir apenas as freqüências sonoras cujos comprimentos de ondas λ satisfaçam a relação
, em que L é o comprimento do canal auditivo e n é um número ímpar positivo. De acordo com esse modelo e assumindo-se que a velocidade do som é igual a 344 m/s e que L = 3,0 cm, conclui-se que a freqüência do primeiro harmônico, após o fundamental, que pode ser ouvido por um ser humano é igual a
Provas
Com relação à combustão que ocorre durante o processo de queima de uma vela (mistura de hidrocarbonetos), assinale a opção correta.
Provas
Texto para as questões 43 e 44
Considere os seguintes estágios de purificação da água para torná-la potável.
I A água natural é submetida a um processo de aeração por borbulhamento de ar. Nessa etapa, ocorre a remoção de gases de odores fortes dissolvidos ao mesmo tempo em que se dissolve oxigênio e nitrogênio.
II Em um tanque, adiciona-se CaO para reduzir a acidez da água e precipitar íons metálicos presentes em solução como hidróxidos. O precipitado, na forma de um pó muito fino, pode ficar suspenso na água.
III A seguir, adiciona-se alume — Al2(SO4)3 . 18 H2O — para coagular e flocular o precipitado, de modo que ele possa ser filtrado. A coagulação envolve a aproximação de íons de modo a formar partículas maiores. A floculação envolve a união de partículas para formar colóides.
IV Sendo anfótero, o alumínio forma íons Al(OH)4+ solúveis em solução básica. Esses íons devem ser eliminados. CO2 é borbulhado para aumentar a acidez e provocar a precipitação do alumínio como Al(OH)3, que é retirado por filtração.
V O pH da água é corrigido.
VI Adiciona-se um desinfetante; normalmente o cloro. O cloro — Cl2 (g) — reage com a água formando o ácido hipocloroso, que é altamente tóxico para bactérias.
Ainda com relação ao texto, assinale a opção correta.
Provas
Texto para as questões 43 e 44
Considere os seguintes estágios de purificação da água para torná-la potável.
I A água natural é submetida a um processo de aeração por borbulhamento de ar. Nessa etapa, ocorre a remoção de gases de odores fortes dissolvidos ao mesmo tempo em que se dissolve oxigênio e nitrogênio.
II Em um tanque, adiciona-se CaO para reduzir a acidez da água e precipitar íons metálicos presentes em solução como hidróxidos. O precipitado, na forma de um pó muito fino, pode ficar suspenso na água.
III A seguir, adiciona-se alume — Al2(SO4)3 . 18 H2O — para coagular e flocular o precipitado, de modo que ele possa ser filtrado. A coagulação envolve a aproximação de íons de modo a formar partículas maiores. A floculação envolve a união de partículas para formar colóides.
IV Sendo anfótero, o alumínio forma íons Al(OH)4+ solúveis em solução básica. Esses íons devem ser eliminados. CO2 é borbulhado para aumentar a acidez e provocar a precipitação do alumínio como Al(OH)3, que é retirado por filtração.
V O pH da água é corrigido.
VI Adiciona-se um desinfetante; normalmente o cloro. O cloro — Cl2 (g) — reage com a água formando o ácido hipocloroso, que é altamente tóxico para bactérias.
Provas
Considere que uma proveta contenha 18 mL de água cuja densidade é igual a 1 g/mL. Nessa situação, assinale a opção incorreta, considerando que M(H) = 1 g/mol e M(O) = 16 g/mol.
Provas
Com relação à água, julgue os itens seguintes.
I A substância água apresenta densidade inferior a 5,0 g/mL e ponto de fusão, ao nível do mar, inferior a 1 ºC.
II A molécula de água apresenta as mesmas propriedades que a substância água. Por exemplo, uma molécula isolada de água entra em ebulição a 100 ºC.
III A molécula de água tem geometria angular e é polar.
IV A água nos estados sólido, líquido e gasoso pode ser corretamente representada, respectivamente, por H2O (s), H2O(l) e H2O (g).
A quantidade de itens certos é igual a
Provas
De acordo com pesquisas desenvolvidas no Projeto Genoma Humano, o número total de genes do genoma humano situa-se entre 30 mil a 40 mil, resultado que surpreendeu a comunidade científica, que acreditava ser esse número maior que 100 mil. A próxima meta de pesquisadores, na área da genética humana, é inventariar todos os genes efetivamente transcritos pelas células do organismo humano. Acerca desse assunto, assinale a opção correta.
Provas

Tendo o texto acima como referência inicial, julgue os itens que se seguem.
I Ao incorporar o tema saúde em seu projeto políticopedagógico, a escola deve, nesse processo educativo, envolver diferentes profissionais que ajudem na sensibilização das populações e na reflexão sobre sua realidade.
II As ações de saúde, na escola, que utilizam técnicas e métodos participativos devem ser questionadas, visto que desestimulam os estudantes e podem, ainda, gerar desconfiança nas famílias dos alunos e na comunidade.
III Ao incorporar o tema saúde em seu projeto políticopedagógico, a escola deve trabalhar com material educativo que reflita a realidade cultural da comunidade.
IV Saúde é qualidade de vida e, portanto, encontra-se vinculada aos direitos humanos, ao direito ao trabalho, à moradia, à educação, à alimentação e ao lazer.
A quantidade de itens certos é igual a
Provas
A educação ambiental, por meio de um processo pedagógico permanente, deve despertar no educando uma consciência crítica quanto aos problemas ambientais. Acerca desse tema, julgue os itens que se seguem.
I A educação ambiental deve enfatizar o respeito pelos diferentes ecossistemas e culturas humanas da Terra.
II A educação ambiental deve facilitar a percepção integrada do meio ambiente, tornando possível uma ação racional, capaz de responder às necessidades sociais.
III A educação ambiental deve contribuir para o desenvolvimento de um espírito de responsabilidade e de solidariedade entre os povos de modo a garantir a conservação e a melhoria do meio ambiente.
Assinale a opção correta.
Provas
Depois de deixar a África e penetrar na Ásia, um grupo de Homo sapiens deu meia-volta, atravessou o norte da Península Arábica e retornou ao seu continente de origem. O retorno à África ocorreu há 45 mil anos, ao mesmo tempo em que outro grupo de humanos migrava em direção à Europa. Essas conclusões são embasadas na análise de linhagens de DNA mitocondrial de humanos modernos.
Tendo o texto acima como referência inicial, julgue os itens a seguir, relacionados à evolução humana.
I A história da evolução biológica do homem pode ser contada por meio do estudo e da classificação de fósseis, pela comparação da embriologia de diversos grupos de seres vivos e pela comparação das seqüências de bases nitrogenadas dos genes de diferentes espécies.
II O estudo a que o texto se refere fundamentou-se na análise do DNA mitocondrial porque este é herdado do pai pelos filhos. Desse modo, o DNA mitocondrial existente nas populações humanas atuais é proveniente de populações humanas da África.
III As diferenças de cor, cabelo, altura e características faciais no homem moderno foram originadas de adaptações ao meio geográfico.
IV O hominídeo mais distante do Homo sapiens é o Homo neanderthalensis.
Estão certos apenas os itens
Provas
Caderno Container