Foram encontradas 720 questões.
Existem vários programas computacionais que permitem ao usuário traçar gráfico de função a partir da expressão que a define e do domínio previamente estabelecido. Um professor preparou uma atividade para seus alunos utilizando um desses programas. Ele escolheu uma lista de funções com seus domínios e pediu que os alunos desenhassem todas elas em um mesmo sistema de coordenadas cartesianas. A curva que se obteve como resultado do trabalho está ilustrado na figura a seguir.

A partir das informações e da figura acima, julgue os itens a seguir.
Se parte da curva está sobre o gráfico da função 9y = 2x + 18, então 2 essa parte está sobre uma parábola de vértice no ponto (0, 2).
Provas
Existem vários programas computacionais que permitem ao usuário traçar gráfico de função a partir da expressão que a define e do domínio previamente estabelecido. Um professor preparou uma atividade para seus alunos utilizando um desses programas. Ele escolheu uma lista de funções com seus domínios e pediu que os alunos desenhassem todas elas em um mesmo sistema de coordenadas cartesianas. A curva que se obteve como resultado do trabalho está ilustrado na figura a seguir.

A partir das informações e da figura acima, julgue os itens a seguir.
Parte da curva está sobre o gráfico de uma reta com coeficiente angular igual a 3.
Provas
Existem vários programas computacionais que permitem ao usuário traçar gráfico de função a partir da expressão que a define e do domínio previamente estabelecido. Um professor preparou uma atividade para seus alunos utilizando um desses programas. Ele escolheu uma lista de funções com seus domínios e pediu que os alunos desenhassem todas elas em um mesmo sistema de coordenadas cartesianas. A curva que se obteve como resultado do trabalho está ilustrado na figura a seguir.

A partir das informações e da figura acima, julgue os itens a seguir.
Se a curva contém parte da circunferência de centro (-4, -1) e raio 2, então essa parte corresponde ao gráfico da função
, para !6
x
-2.
Provas
O pentagrama, símbolo dos pitagóricos, divide o pentágono regular que o circunscreve nas regiões designadas pelos algarismos 1, 2, 3 e 4, como ilustrado na figura abaixo. O professor sugeriu aos alunos que pintassem as regiões utilizando apenas as cores azul, rosa, verde e amarelo, e de forma que duas regiões que possuem um segmento de reta em comum não podem ser pintadas com a mesma cor.

Acerca dessa atividade, julgue os itens subseqüentes.
Segundo a regra estabelecida, a região 4 poderá ser pintada com a mesma cor de uma das outras três regiões.
Provas
O pentagrama, símbolo dos pitagóricos, divide o pentágono regular que o circunscreve nas regiões designadas pelos algarismos 1, 2, 3 e 4, como ilustrado na figura abaixo. O professor sugeriu aos alunos que pintassem as regiões utilizando apenas as cores azul, rosa, verde e amarelo, e de forma que duas regiões que possuem um segmento de reta em comum não podem ser pintadas com a mesma cor.

Acerca dessa atividade, julgue os itens subseqüentes.
Se um aluno utilizar apenas 3 das 4 cores permitidas e seguir a condição estabelecida, então o número de configurações distintas possíveis que ele poderá obter é igual a 4.
Provas

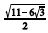
A aproximação para
obtida aplicando-se a relação utilizada na Idade Média fornece uma aproximação para B correta até a 3.ª casa decimal.
Provas

Provas

Com base nessas informações, julgue os itens a seguir.
Se um cliente fez um saque bancário de sua conta corrente no valor de R$ 1.500,00, em novembro de 2007, então dele foi cobrado R$ 5,70 referentes à CPMF nessa operação.
Provas

Com base nessas informações, julgue os itens a seguir.
Considere que 2% do valor arrecadado em 2006, em razão da CPMF, foram destinados ao Ministério da Educação. Nessa situação, é correto afirmar que o valor destinado ao Ministério da Educação corresponde a 0,076% de todas as transações bancárias que cobravam CPMF.
Provas
Em uma aula de Matemática, quando o assunto abordado era trigonometria, foi proposto aos alunos que estudassem a posição relativa das ilhas L, D e J, a partir de informações contidas no mapa ilustrado na figura abaixo, onde P é a localização de determinado porto. Os alunos, depois de traçarem os eixos horizontais e verticais, perpendiculares no ponto P, usando um transferidor determinaram os ângulos que os raios PL, PD e PJ fazem com o eixo horizontal, obtendo 30º, 45º e 60º, respectivamente.

Acerca dessa atividade e sabendo que o mapa foi desenhado na escala de 1 cm : 0,25 km, julgue os itens subseqüentes.
A distância entre as ilhas D e J é igual a
km.
Provas
Caderno Container