Foram encontradas 120 questões.
A balança de dois pratos é um material concreto que auxilia na compreensão e resolução de equações. Considere, na figura abaixo, que objetos iguais representam pesos iguais e que todas as balanças estejam em equilíbrio.

Com relação a essas balanças, julgue os itens subseqüentes.
Designando por x, y e z, respectivamente, valores não-nulos do pentágono, do quadrado e da cruz, que mantêm o equilíbrio nas três balanças, então 4x + 2y + z = 0.
Provas
A balança de dois pratos é um material concreto que auxilia na compreensão e resolução de equações. Considere, na figura abaixo, que objetos iguais representam pesos iguais e que todas as balanças estejam em equilíbrio.

Com relação a essas balanças, julgue os itens subseqüentes.
Infere-se da figura que as equações representadas nas balanças 2 e 3 são equivalentes.
Provas
A balança de dois pratos é um material concreto que auxilia na compreensão e resolução de equações. Considere, na figura abaixo, que objetos iguais representam pesos iguais e que todas as balanças estejam em equilíbrio.

Com relação a essas balanças, julgue os itens subseqüentes.
A situação da balança 1 pode ser representada pela equação 2x = 3y.
Provas
Uma professora distribuiu planificações de poliedros regulares para que seus alunos pintassem as faces seguindo as seguintes regras:

A figura abaixo é a planificação de um desses poliedros, com suas faces numeradas.Com base nas regras apresentadas e na figura, julgue os itens a seguir.

As faces 4 e 7 serão pintadas na mesma cor.
Provas
Uma professora distribuiu planificações de poliedros regulares para que seus alunos pintassem as faces seguindo as seguintes regras:

A figura abaixo é a planificação de um desses poliedros, com suas faces numeradas.Com base nas regras apresentadas e na figura, julgue os itens a seguir.

De acordo com as regras, as faces 1 e 6 serão pintadas na mesma cor.
Provas
Uma professora distribuiu planificações de poliedros regulares para que seus alunos pintassem as faces seguindo as seguintes regras:

A figura abaixo é a planificação de um desses poliedros, com suas faces numeradas.Com base nas regras apresentadas e na figura, julgue os itens a seguir.

O poliedro cuja planificação corresponde à apresentada na figura acima tem 17 arestas e 11 vértices.
Provas
O problema apresentado a seguir, encontrado no Papiro Matemático Rhind ou Ahmos — 1650 a.C —, envolve a noção de progressão aritmética. "Divida 100 pães por 5 homens, de modo que as quantidades recebidas por cada um estejam em progressão aritmética e que a soma das duas quantidades menores seja igual a
da soma das outras três." Com base nessas informações e designando por a o termo inicial e por r a razão da progressão aritmética, julgue os itens a seguir.
Desconsiderando as hipóteses do problema egípcio, dividindo os 100 pães entre os 5 homens de forma que as quantidades recebidas por cada um estejam em uma progressão aritmética de razão 3, então o número máximo de pães que um dos homens receberia é igual a 29.
Provas
O problema apresentado a seguir, encontrado no Papiro Matemático Rhind ou Ahmos — 1650 a.C —, envolve a noção de progressão aritmética. "Divida 100 pães por 5 homens, de modo que as quantidades recebidas por cada um estejam em progressão aritmética e que a soma das duas quantidades menores seja igual a
da soma das outras três." Com base nessas informações e designando por a o termo inicial e por r a razão da progressão aritmética, julgue os itens a seguir.
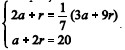
A solução do problema egípcio também é solução do seguinte sistema de equações lineares:

Provas
O problema apresentado a seguir, encontrado no Papiro Matemático Rhind ou Ahmos — 1650 a.C —, envolve a noção de progressão aritmética. "Divida 100 pães por 5 homens, de modo que as quantidades recebidas por cada um estejam em progressão aritmética e que a soma das duas quantidades menores seja igual a
da soma das outras três." Com base nessas informações e designando por a o termo inicial e por r a razão da progressão aritmética, julgue os itens a seguir.
Se b1 = a, b2 = a + r, b3 = a + 2r, b4 = a + 3r e b5 = a + 4r são os cinco termos da progressão aritmética, então b3 + b4 + b5 = 3 (b3 + r).
Provas
O geoplano, um material concreto para se ensinar geometria, foi inventado pelo matemático e pedagogo egípcio Galeb Gattegno. São três tipos de geoplanos: quadrado, triangular e circular. A figura abaixo ilustra um geoplano triangular, formado por triângulos eqüiláteros congruentes, no qual alguns polígonos foram construídos.

Com base nas informações acima e considerando como unidade de comprimento o comprimento u dos lados dos triângulos que formam a malha do geoplano, julgue os itens a seguir.
O polígono IV é obtido como imagem do polígono I por meio de uma rotação de 60º, no sentido anti-horário em torno do ponto P, seguido de uma translação determinada por um vetor que faz um ângulo de 60º com o segmento AB.
Provas
Caderno Container