Foram encontradas 49 questões.
Constitui ato de improbidade administrativa
que causa prejuízo ao erário
Provas
Questão presente nas seguintes provas
Conforme o regulamento de contratações
administrativas realizadas por dispensa e
inexigibilidade de licitação da SBMG, é dispensável
a realização de licitação pela SBMG para obras e
serviços de engenharia de valor até:
Provas
Questão presente nas seguintes provas
Conforme a Lei nº 4987/99, a Terminais
Aéreos de Maringá - SBMG S/A constitui-se em
uma:
Provas
Questão presente nas seguintes provas
Assinale a alternativa CORRETA, de acordo
com a Lei Orgânica de Criação dos Terminais Aéreos
de Maringá – Lei nº 4987/99.
Provas
Questão presente nas seguintes provas
De acordo com o Regulamento de Contratos
Administrativos da SMMG, o fiscal do contrato é:
Provas
Questão presente nas seguintes provas
No polígono a seguir, qual o valor de x?

Provas
Questão presente nas seguintes provas
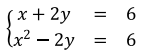
Um sistema de equações, quando uma
delas possui grau dois, possui dois pares (x,y)
como possíveis soluções para o sistema. Qual das
alternativas a seguir apresenta um produto entre os
valores x e y possíveis como solução do sistema a
seguir? 

Provas
Questão presente nas seguintes provas
Um triângulo é equilátero quando todos
os seus ângulos internos são de 60°. Uma forma
de calcular sua área é encontrando a altura do
triângulo a partir das relações trigonométricas
básicas. Considerando cos60º = sen30º = 0,5 e cos30º = sen60º = 0,85, qual a altura de um
triângulo equilátero de lado igual a 4cm?
Provas
Questão presente nas seguintes provas
“A situação econômica do país e a redução
nas licitações fizeram com que o número de
desempregados no setor da construção pesada do
Estado de São Paulo caísse 6,06% no ano passado.
(...)”
(fonte: Folha de São Paulo, disponível em https://www1.folha.uol.com.br/colunas/ mercadoaberto/2015/01/1582012-construcaopesada-demite-606-em-2014.shtml).
A matéria do jornal segue apresentando o gráfico a seguir:
Sobre as informações contidas no gráfico, é CORRETO afirmar que:
(fonte: Folha de São Paulo, disponível em https://www1.folha.uol.com.br/colunas/ mercadoaberto/2015/01/1582012-construcaopesada-demite-606-em-2014.shtml).
A matéria do jornal segue apresentando o gráfico a seguir:

Sobre as informações contidas no gráfico, é CORRETO afirmar que:
Provas
Questão presente nas seguintes provas
Diferentes instrumentos de medidas
possuem diferentes funcionalidades, inclusive
alguns são mais úteis para realizar medições em
intervalos específicos de medidas. Um exemplo
disso é a trena, que não é tão exata como uma
régua para medidas de alguns milímetros ou poucos
centímetros, mas para medidas de até alguns
metros, se mostra eficiente.
Considerando uma trena que possa medir até 5
metros, quantas canetas de 15cm, poderiam ser
colocadas uma após a outra em linha reta, e a “linha
de canetas” poderia ser medida com essa trena de
uma só vez?
Provas
Questão presente nas seguintes provas
Cadernos
Caderno Container