Foram encontradas 180 questões.
Provas

Provas
Provas
Provas
Para responder à questão, leia o texto de Carlos Heitor Cony.
A justiça como é feita
RIO DE JANEIRO – Um filme de André Cayatte (“Justice est faite”) conta a história de um réu acusado de um crime. Ele alega inocência, o juiz fica em dúvida e, na dúvida, não o condena à morte, mas à prisão por oito anos. Cayatte, que além de cineasta era advogado militante, termina entrando na história com o seguinte comentário: “Se o réu é culpado, a pena foi pouca. Se o réu é inocente, a pena foi muita. De qualquer forma, a justiça dos homens foi feita”.
(Folha de S.Paulo, 05.03.2009)
Para responder à questão, considere a frase – Cayatte, que além de cineasta era advogado militante... –
O termo militante significa
Provas
A questão baseia-se no texto de Ruy Castro.
O caso da coxinha envenenada
RIO DE JANEIRO – Na semana passada, em Conchal (172 km de São Paulo), uma mulher serviu um prato de coxinhas ao marido. Este salivou profusamente e atacou uma delas com disposição. Mas, na primeira engolida, sentiu um gosto estranho e comentou que o quitute não estava nos padrões a que ela o acostumara. A mulher deu um sorriso amarelo e disse que devia ser a pimentado- reino.
O homem fez “Grmff!” e repassou as coxinhas a seu cachorro, que o olhava com ar súplice, debaixo da mesa. O animal, fraco em etiqueta e de paladar menos sofisticado, devorou a porção quase de uma bocada. Ato contínuo, deu um ganido grosso, irreal, como se dublasse a si mesmo, revirou os olhos e estatelou-se, morto, na sala.
Desconfiado, o marido correu para o pronto-socorro, onde o velho clister entrou em ação. Diante da suspeita de envenenamento, a mulher confessou tudo ao delegado. Tinha desviado R$ 15 mil da conta de ambos e temia que ele descobrisse.
(Folha de S.Paulo, 11.03.2009)
Assinale a alternativa correta quanto à concordância nominal.
Provas
Provas
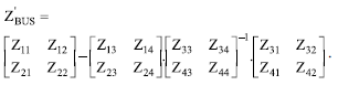
- o fasor da corrente no circuito em p.u. i= 1 < 0º p.u.
- a impedância da linha !$ \overline {Z} = \sqrt {2} + j \sqrt {2} [\Omega] !$
- uma carga com:
indutivoProvas
Leia o texto para responder à questão.
Livres, anônimos e abandonados
Fazendo um retrospecto na história, encontramos que a primeira instituição com caráter de atendimento à infância tenha nascido na Itália e se expandido por toda Europa e posteriormente no Brasil. Chamava-se “Roda dos Expostos” e recebia essa denominação porque em sua entrada havia um dispositivo que se encaixava em um eixo giratório. Sua função era dar anonimato ao abandono de crianças. Para “expor” uma criança bastava colocá-la dentro da caixa, girá-la a 180º e apertar a campainha. Do outro lado ficava o funcionário para receber a criança abandonada. Nenhuma das identidades era revelada. Esta era uma instituição do tipo total, pois as crianças passavam tempo integral de suas vidas e tinham nela seu único abrigo. No Brasil, esse tipo de instituição chegou por volta de 1726 e esteve em vigor até 1950.
A partir de 1935, a Casa de Expostos de São Paulo, localizada no bairro do Pacaembu, passou a ser conhecida como Asilo Sampaio Vieira. Posteriormente, essa instituição passou a se denominar Educandário Sampaio Vieira, depois Casa da Criança do Serviço Social de Menores, e por fim, constituiu-se como a Unidade de Triagem Sampaio Viana (UT-1), da FEBEM-SP, que atendia crianças do sexo masculino e feminino, de até seis anos e onze meses.
(Sociologia: ciência&vida, ano II, número 17. Adaptado)
Mantendo-se o mesmo modo e tempo verbal, a oração – Nenhuma das identidades era revelada. – pode ser reescrita da seguinte forma:
Provas

- Transformador TA: Estrela-Delta, 13,8:138 [kV], 100 MVA, zcc = 6%;
- Transformador TB: Delta-Estrela, 138,0:14,5 [kV], 80 MVA, zcc = 8%;
- Barra I: tensão nominal 13,8 [kV];
- Linhas L1 e L2: zcc = 5%, 100 MVA.
Provas
Caderno Container