Foram encontradas 40 questões.
TEXTO II
INAUGURAL
Gostaria de estrear neste espaço, em que escrevem tantas pessoas talentosas, com um texto que fosse um primor. Um texto – como direi? – redondo, completo. Que tocasse o jornaleiro, primeiro a carregar o jornal pelas ruas, tocasse a dona de casa, os jovens, os velhos, os pobres, os ricos ( mas homens sérios, distantes e duros, que só discutem dinheiro, eu não sei se ia conseguir tocar). E que todos dissessem depois, aos quatro ventos: “Que texto bom! Música para os meus ouvidos! Era isso mesmo o que eu queria dizer”.
Infelizmente, não chego a tanto. Estamos em maio, o verde começa a secar, estridentes e violentos são os barulhos que vêm do mundo, vivemos dias ensandecidos. Além disso, bem pouco sei. Não possuo aquele cabedal de conhecimentos que elevam o espírito e enchem de orgulho a nação. Tampouco costumo escrever coisas edificantes, com lições de moral e instruções sobre o correto proceder.
Tentarei, no entanto, dar o melhor “de si”, como diriam alguns. Labutarei em cada linha, em cada palavra para ser digna dessa tarefa e à altura dos que a dividem comigo. Não fugirei ao dever de comentar com certa amenidade os acontecimentos cotidianos; não serei jamais tão pessimista que traga desconsolo aos leitores, nem tão jubilosa que pareça falsa. Meus escritos se pautarão pelo bom senso, essa instância da sabedoria que o tempo nos traz. Direi muitas coisas, algumas talvez certas e outras que não terão a menor importância. Não me lamentarei, não correrão lágrimas pelo teclado do computador. E, mesmo assim, pretendo ser verdadeira, sabendo que, se não o for todos perceberão. “Sê fiel a ti mesmo”, já dizia Polonius.
(BUFAIÇAL.Maria Lúcia Félix. Um olhar goiano refletido em 48 crônicas selecionadas. Goiânia: ed. O Popular. sd. e-book. (https://d335luupugsy2.cloudfront.net/cms%2Ffiles%2F13223%- 2F1618233179e-book_cronicas_v_find_2.pdf)
Provas
TEXTO II
INAUGURAL
Gostaria de estrear neste espaço, em que escrevem tantas pessoas talentosas, com um texto que fosse um primor. Um texto – como direi? – redondo, completo. Que tocasse o jornaleiro, primeiro a carregar o jornal pelas ruas, tocasse a dona de casa, os jovens, os velhos, os pobres, os ricos ( mas homens sérios, distantes e duros, que só discutem dinheiro, eu não sei se ia conseguir tocar). E que todos dissessem depois, aos quatro ventos: “Que texto bom! Música para os meus ouvidos! Era isso mesmo o que eu queria dizer”.
Infelizmente, não chego a tanto. Estamos em maio, o verde começa a secar, estridentes e violentos são os barulhos que vêm do mundo, vivemos dias ensandecidos. Além disso, bem pouco sei. Não possuo aquele cabedal de conhecimentos que elevam o espírito e enchem de orgulho a nação. Tampouco costumo escrever coisas edificantes, com lições de moral e instruções sobre o correto proceder.
Tentarei, no entanto, dar o melhor “de si”, como diriam alguns. Labutarei em cada linha, em cada palavra para ser digna dessa tarefa e à altura dos que a dividem comigo. Não fugirei ao dever de comentar com certa amenidade os acontecimentos cotidianos; não serei jamais tão pessimista que traga desconsolo aos leitores, nem tão jubilosa que pareça falsa. Meus escritos se pautarão pelo bom senso, essa instância da sabedoria que o tempo nos traz. Direi muitas coisas, algumas talvez certas e outras que não terão a menor importância. Não me lamentarei, não correrão lágrimas pelo teclado do computador. E, mesmo assim, pretendo ser verdadeira, sabendo que, se não o for todos perceberão. “Sê fiel a ti mesmo”, já dizia Polonius.
(BUFAIÇAL.Maria Lúcia Félix. Um olhar goiano refletido em 48 crônicas selecionadas. Goiânia: ed. O Popular. sd. e-book. (https://d335luupugsy2.cloudfront.net/cms%2Ffiles%2F13223%- 2F1618233179e-book_cronicas_v_find_2.pdf)
Provas
TEXTO II
INAUGURAL
Gostaria de estrear neste espaço, em que escrevem tantas pessoas talentosas, com um texto que fosse um primor. Um texto – como direi? – redondo, completo. Que tocasse o jornaleiro, primeiro a carregar o jornal pelas ruas, tocasse a dona de casa, os jovens, os velhos, os pobres, os ricos ( mas homens sérios, distantes e duros, que só discutem dinheiro, eu não sei se ia conseguir tocar). E que todos dissessem depois, aos quatro ventos: “Que texto bom! Música para os meus ouvidos! Era isso mesmo o que eu queria dizer”.
Infelizmente, não chego a tanto. Estamos em maio, o verde começa a secar, estridentes e violentos são os barulhos que vêm do mundo, vivemos dias ensandecidos. Além disso, bem pouco sei. Não possuo aquele cabedal de conhecimentos que elevam o espírito e enchem de orgulho a nação. Tampouco costumo escrever coisas edificantes, com lições de moral e instruções sobre o correto proceder.
Tentarei, no entanto, dar o melhor “de si”, como diriam alguns. Labutarei em cada linha, em cada palavra para ser digna dessa tarefa e à altura dos que a dividem comigo. Não fugirei ao dever de comentar com certa amenidade os acontecimentos cotidianos; não serei jamais tão pessimista que traga desconsolo aos leitores, nem tão jubilosa que pareça falsa. Meus escritos se pautarão pelo bom senso, essa instância da sabedoria que o tempo nos traz. Direi muitas coisas, algumas talvez certas e outras que não terão a menor importância. Não me lamentarei, não correrão lágrimas pelo teclado do computador. E, mesmo assim, pretendo ser verdadeira, sabendo que, se não o for todos perceberão. “Sê fiel a ti mesmo”, já dizia Polonius.
(BUFAIÇAL.Maria Lúcia Félix. Um olhar goiano refletido em 48 crônicas selecionadas. Goiânia: ed. O Popular. sd. e-book. (https://d335luupugsy2.cloudfront.net/cms%2Ffiles%2F13223%- 2F1618233179e-book_cronicas_v_find_2.pdf)
Provas
TEXTO I

(blogdoaftm.com.br.manual da (nova) politica.
Acesso em: 4.set.2025).
Provas
TEXTO I

(blogdoaftm.com.br.manual da (nova) politica.
Acesso em: 4.set.2025).
Provas
TEXTO I

(blogdoaftm.com.br.manual da (nova) politica.
Acesso em: 4.set.2025).
Provas
Provas
Provas
Os rios sempre correm de lugares de maior altitude para lugares de menor altitude. Suas águas retiram sedimentos das partes mais altas (dos planaltos, por exemplo) e os depositam nas partes mais baixas (como as planícies). A área ocupada por um rio principal e seus afluentes é chamada bacia hidrogáfica.
Sobre esse tema, leia as afirmações a seguir e identifique-as como Falsas (F) ou Verdadeiras (V).
Então, marque a alternativa que contém a sequencia correta quanto à falsidade ou veracidade das afirmações.
( ) No Estado de Goiás, todos os principais rios correm para o Norte e fazem parte da bacia hidrográfica do Rio Paranã.
( ) No Município de Catalão, todos os principais rios correm para o Sul e fazem parte da bacia hidrográfica do Rio Paranaíba.
( ) As bacias hidrográficas do Araguaia e Tocantins nascem no Planalto Central e fluem no sentido longitudinal em direção ao Norte.
( ) Às margens do Rio Vermelho, afluente do Rio Araguaia, no município de Goiás, está localizado o Marco Zero do Estado de Goiás, por ser o local onde o bandeirante Bartolomeu Bueno da Silva, o Moço, usou a artimanha do prato de aguardente com fogo para impressionar os nativos, ameaçando fazer o mesmo com seus rios.
Provas
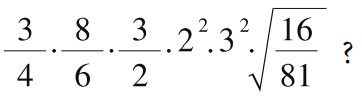
Qual o valor da expressão numérica:

Provas
Caderno Container