Foram encontradas 60 questões.
Com base nas disposições da Lei Maria da Penha, analise as assertivas abaixo:
I. São formas de violência doméstica e familiar contra a mulher, entre outras: física, psicológica, sexual, patrimonial e moral.
II. No atendimento à mulher em situação de violência doméstica e familiar, a autoridade policial deverá, entre outras providências, garantir proteção policial, quando necessário, comunicando de imediato ao Conselho Tutelar.
III. É direito da mulher em situação de violência doméstica e familiar o atendimento policial e pericial especializado, ininterrupto e prestado por servidores – preferencialmente do sexo feminino – previamente capacitados.
Quais estão corretas?
Provas
São tipos de atenuação em fibra ópticas:
I. Perda por dispersão: causadas por propriedades do meio físico onde a fibra é lançada como água e metais.
II. Perdas por espalhamento: mecanismos de perda intrínsecos causados pela interação de fótons com a sílica que compõe a fibra.
III. Perdas por curvatura: perdas induzidas por um “stress” físico na fibra.
Quais estão corretas?
Provas
O modelo PDCA, ciclo aplicável ao processo de melhoria contínua de serviços, é composto de alguns estágios, quais sejam:
I. Planejar (Plan).
II. Executar (Do).
III. Controlar (Check).
IV. Agir (Act).
Quais estão corretas?
Provas
- Transmissão de DadosCaracterísticas de TransmissãoLargura de Banda
- Transmissão de DadosCaracterísticas de TransmissãoTaxa de Transferência de Dados
- Transmissão de DadosMeios de TransmissãoCabeamento FìsicoMeio de Transmissão: Par Trançado
Assinale a alternativa que apresenta, correta e respectivamente, as características de frequência e velocidade dos cabos TP CAT 5E, CAT 6, CAT 6A, CAT 7 e CAT 7ª.
Provas
Sabemos que um cabo coaxial é formado por Resitência (R), Indutância (L) e Condutância (G). Em relação a frequência, podemos dizer que:

I. À medida que aumenta a frequência, a atenuação diminui.
II. À medida que aumenta a frequência, a atenuação permanece linear.
III. À medida que aumenta a frequência, a atenuação aumenta.
Quais estão corretas?
Provas
Observando os quatro comprimentos de ondas apresentados na Figura 5 abaixo, podemos informar que possuem regiões com atenuações reduzidas em fibras ópticas comerciais, respectivamente, em:

Figura 5
Provas
Quando os dados que receberam o cabeçalho na camada de transporte são enviados à camada de rede, ela adiciona seu próprio cabeçalho para formar um pacote de camada de rede. Qual cabeçalho é acrescentado e qual equipamento trabalha nesta camada, respectivamente?
Provas
Quando o usuário gera alguns dados a serem enviados para uma máquina remota, esses dados são repassados à camada de transporte, que, então, acrescenta um cabeçalho:
I. TCP.
II. IP.
III. TCP/IP.
Quais estão corretas?
Provas
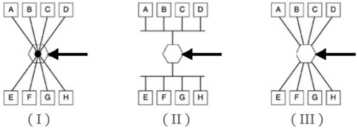
Entre os equipamentos sinalizados abaixo com a seta, quais representam Switches?

Provas
- Transmissão de DadosMeios de TransmissãoMeios Transmissão sem Fio
- Transmissão de DadosPadrões IEEE 802IEEE 802.3: Ethernet
Em Arquitetura de rede IEEE 802.11, duas BSSs podem ser interligadas para obter uma área maior de cobertura através de um sistema de distribuição (DS – Distribution System). A norma 802.11 separa o meio sem fio (WM – Wireless Medium) do meio de sistema de distribuição (DSM – Distribution System Medium), e cada meio lógico é usado para diferentes propósitos. Sendo assim, o sistema de distribuição usado para interligar duas ou mais células pode ser:
I. Somente através do AR.
II. Somente através de uma rede cabeada.
III. Tanto pode ser pelo AR quanto por uma rede cabeada.
Quais estão corretas?
Provas
Caderno Container