Foram encontradas 1.215 questões.
Em um hospital trabalham três médicos: Helena,
Marcos e Tiago. Considerando que cada médico
atende em um setor diferente, Helena atende no
setor de Pediatria, Marcos não atende na
Pediatria e Tiago não atende na Ortopedia, em
qual setor Marcos atende?
Assinale a alternativa correta.
Assinale a alternativa correta.
Provas
Questão presente nas seguintes provas
Considere os números inteiros: A = 20, B = 28 e
C = 36.
Calcule o mínimo múltiplo comum MMC e o máximo divisor comum MDC de cada par de números (A, B), (B, C) e (A, C). Em seguida, determine o valor da expressão:
Assinale a alternativa correta:
Calcule o mínimo múltiplo comum MMC e o máximo divisor comum MDC de cada par de números (A, B), (B, C) e (A, C). Em seguida, determine o valor da expressão:
Assinale a alternativa correta:
Provas
Questão presente nas seguintes provas
Davi possui uma quantidade N de caixas maior
do que 80 e menor do que 90. Se as N caixas
fossem agrupadas de 5 em 5 sobrariam duas. Se
houvesse duas caixas a mais, elas poderiam ser
agrupadas de 7 em 7 sem que sobrasse qualquer
caixa.
A soma dos algarismos de N é:
A soma dos algarismos de N é:
Provas
Questão presente nas seguintes provas
Você está estudando matemática para concursos
públicos e, em meio aos diversos exercícios que
estava resolvendo, se deparou com o seguinte
problema:
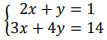
Dado o sistema de equações abaixo, encontre todas as soluções do sistema:
Assinale a alternativa que indica o par ordenado que representa a solução desse sistema de equações.
Dado o sistema de equações abaixo, encontre todas as soluções do sistema:
Assinale a alternativa que indica o par ordenado que representa a solução desse sistema de equações.
Provas
Questão presente nas seguintes provas
Assinale a alternativa em que o espaço em branco
pode ser preenchido corretamente pelas duas
formas apresentadas entre parênteses.
Provas
Questão presente nas seguintes provas

BECK, Alexandre. Tiras de Armandinho. Disponível em .<https://fotografia.folha.uol.com.br/galerias/27431-tirasde-armandinho>.
Reescrevendo a frase “Na verdade um motivo existe...”, empregada na tirinha acima, com alterações de tempo e número, fica correta a seguinte forma:
Provas
Questão presente nas seguintes provas
Assinale a alternativa que se apresenta
totalmente correta em relação à ocorrência ou
não de crase.
Provas
Questão presente nas seguintes provas
Assinale a alternativa em que a palavra destacada
está sendo empregada corretamente.
Provas
Questão presente nas seguintes provas
Assinale a alternativa cuja palavra destacada está
sendo empregada corretamente.
Provas
Questão presente nas seguintes provas
Assinale a alternativa em que todas as palavras
estão escritas de acordo com as normas vigentes
de grafia da Língua Portuguesa.
Provas
Questão presente nas seguintes provas
Cadernos
Caderno Container