Foram encontradas 2.140 questões.
Os navegadores de internet, também conhecidos
como browsers, são programas utilizados para
acessar e visualizar páginas na web. Qual dos
aplicativos mencionados abaixo foi criado pela
Microsoft para navegação na internet?
Provas
Questão presente nas seguintes provas
Indique a alternativa que apresenta o atalho de
teclado do Windows que realiza a exclusão de
um arquivo ou pasta, sem enviá-lo para a Lixeira:
Provas
Questão presente nas seguintes provas
- Sistemas OperacionaisWindowsFuncionalidades do WindowsGerenciamento de Arquivos e PastasWindows Explorer
Analise a imagem a seguir, que relaciona os
principais campos do explorador de arquivos do
sistema operacional Windows e assinale a
alternativa que descreve o nome do componente
destacado:

Provas
Questão presente nas seguintes provas
Qual é o nome da ferramenta do Windows que
possibilita que o usuário ajuste as configurações
do computador, como relógio e região, aparência
e personalização?
Provas
Questão presente nas seguintes provas
Em uma empresa, a porcentagem de mulheres em
cargos de liderança é distribuída da seguinte
forma:
• Gerência: 50 mulheres, com um peso de importância de 3.
• Diretoria: 20 mulheres, com um peso de importância de 5.
• Supervisão: 30 mulheres, com um peso de importância de 2.
Assinale a alternativa que indica qual é a média ponderada da presença de mulheres nesses cargos, considerando os pesos de importância:
• Gerência: 50 mulheres, com um peso de importância de 3.
• Diretoria: 20 mulheres, com um peso de importância de 5.
• Supervisão: 30 mulheres, com um peso de importância de 2.
Assinale a alternativa que indica qual é a média ponderada da presença de mulheres nesses cargos, considerando os pesos de importância:
Provas
Questão presente nas seguintes provas
Em 2025, uma pesquisa revelou que 60% das
empresas globais já utilizavam soluções de
Inteligência Artificial (IA) em seus processos.
Entre essas empresas, 40% afirmaram que a IA
aumentou sua eficiência operacional em 20%.
Qual é a porcentagem total de empresas globais
que tiveram um aumento de eficiência
operacional devido à IA?
Provas
Questão presente nas seguintes provas
Em 2023, foram abertas 2.000 vagas para
concursos públicos de nível médio. Em 2024, o
número subiu para 3.000 vagas, e em 2025,
alcançou 4.500 vagas. Qual é a razão entre o
número de vagas de 2025 e o total de vagas dos
três anos somados?
Provas
Questão presente nas seguintes provas
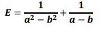
Seja ![]()
Considere a expressão:

Determine o valor exato de E.
Provas
Questão presente nas seguintes provas
Uma empresa faz entregas em dois bairros: Vila
Matilde a cada 18 dias e Lapa a cada 24 dias. Se
hoje ela fez entregas nos dois bairros, em quantos
dias voltará a fazer entregas simultâneas nos dois
bairros?
Provas
Questão presente nas seguintes provas
“A maior parte dos torcedores _______ (aderiu/aderiram) às medidas do clube."
Assinale a alternativa que preenche corretamente a lacuna da frase acima e justifica o uso do(s) verbo(s) de forma adequada.
Provas
Questão presente nas seguintes provas
Cadernos
Caderno Container