Magna Concursos

Foram encontradas 40 questões.

2075284 Ano: 2021
Disciplina: Português
Banca: FUNDATEC
Orgão: Pref. Vacaria-RS

Instrução: A questão refere-se ao texto abaixo. O destaque ao longo do texto está citado na questão.

Enunciado 2075284-1

No trecho a seguir, as formas verbais destacadas têm sujeitos simples ou desinencial (oculto, mas perceptível pela pessoa em que o verbo está flexionado), EXCETO em:


Por se tratar de uma região muito empobrecida, são inúmeros os casos de famílias que arrumam casamentos para as meninas com o intuito de diminuírem os gastos financeiros do lar, já que essas contas passam para o futuro esposo das crianças.

 

Provas

Questão presente nas seguintes provas
2075283 Ano: 2021
Disciplina: Português
Banca: FUNDATEC
Orgão: Pref. Vacaria-RS

Instrução: A questão refere-se ao texto abaixo. O destaque ao longo do texto está citado na questão.

Enunciado 2075283-1

Considere as seguintes assertivas sobre palavras do texto:

I. A diferença fonética entre pais e país justifica-se porque na primeira há um ditongo decrescente, enquanto na segunda há um hiato.

II. As palavras já, até e são monossílabos tônicos, o que justifica sua acentuação gráfica.

III. As palavras África, inúmeros e estatística pertencem ao mesmo grupo quanto à justificativa para o acento gráfico.

IV. As palavras vitória e decorrências, consideradas tanto paroxítonas como proparoxítonas eventuais, têm sua acentuação gráfica justificada por duas regras.

Quais estão corretas?

 

Provas

Questão presente nas seguintes provas
2075282 Ano: 2021
Disciplina: Português
Banca: FUNDATEC
Orgão: Pref. Vacaria-RS

Instrução: A questão refere-se ao texto abaixo. O destaque ao longo do texto está citado na questão.

Enunciado 2075282-1

Assinale a alternativa em que a reescrita do seguinte trecho altera o sentido pretendido no texto original.

Ano passado (2019), Theresa alcançou mais uma vitória: ela conseguiu que fosse estabelecida a maioridade de 18 anos como condição para casamentos, mesmo que os pais aprovem.

 

Provas

Questão presente nas seguintes provas
2034214 Ano: 2021
Disciplina: Odontologia
Banca: FUNDATEC
Orgão: Pref. Vacaria-RS
Provas:
O Brasil avançou com o SUS ao estabelecer a e a como princípios e a ampliação da cobertura da Atenção Básica, por meio da Estratégia Saúde da Família (ESF). O resultado do último levantamento epidemiológico nacional – SB Brasil 2010 – mostrou mudança no perfil epidemiológico das doenças bucais: o Brasil entrou entre os países com baixa prevalência de cárie, CPO-D .
Assinale a alternativa que preenche, correta e respectivamente, as lacunas do trecho acima.
 

Provas

Questão presente nas seguintes provas
2032760 Ano: 2021
Disciplina: Atualidades e Conhecimentos Gerais
Banca: FUNDATEC
Orgão: Pref. Vacaria-RS
O novo coronavívus, que teve os primeiros casos detectados na China e posteriormente se alastrou como pandemia para o mundo todo, pode causar:
 

Provas

Questão presente nas seguintes provas
2030634 Ano: 2021
Disciplina: Legislação Municipal
Banca: FUNDATEC
Orgão: Pref. Vacaria-RS
Segundo o Art. 9º da Lei Orgânica do Município de Vacaria, são tributos da competência Municipal, EXCETO:
 

Provas

Questão presente nas seguintes provas
2029019 Ano: 2021
Disciplina: Legislação Municipal
Banca: FUNDATEC
Orgão: Pref. Vacaria-RS
Segundo o Art. 29 do Regime Jurídico dos Servidores Públicos do Município de Vacaria, a forma de provimento de cargos públicos que resulta na reinvestidura do servidor estável no cargo anteriormente ocupado, ou no resultante de sua transformação, quando invalidada sua demissão por decisão judicial ou administrativa, com ressarcimento de todas as vantagens, denomina-se:
 

Provas

Questão presente nas seguintes provas
2026912 Ano: 2021
Disciplina: Raciocínio Lógico
Banca: FUNDATEC
Orgão: Pref. Vacaria-RS

Considere as seguintes proposições verdadeiras:

I. Todos os contadores de Vacaria gostam de estudar Matemática.

II. Alguns advogados de Vacaria gostam de estudar Matemática.

III. Não há quem seja em Vacaria ao mesmo tempo contador e advogado.

IV. Pedro é advogado.

Disso, pode-se concluir que:

 

Provas

Questão presente nas seguintes provas
2026649 Ano: 2021
Disciplina: Matemática
Banca: FUNDATEC
Orgão: Pref. Vacaria-RS

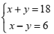
No sistema de equações Enunciado 2026649-1o valor de x2 + y2 é:

 

Provas

Questão presente nas seguintes provas
2025624 Ano: 2021
Disciplina: Português
Banca: FUNDATEC
Orgão: Pref. Vacaria-RS

Instrução: A questão refere-se ao texto abaixo. O destaque ao longo do texto está citado na questão.

Enunciado 2025624-1

No final do texto, a mensagem de Theresa Kachindamoto pode ser entendida da seguinte forma:
 

Provas

Questão presente nas seguintes provas