Foram encontradas 50 questões.

O ângulo APC determinado pelas interseções das cordas AD e BC é igual a
Provas

Provas

Provas
é igual aProvas
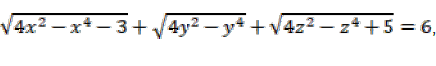
A matemática é uma ciência exata que trabalha muito com a imaginação, a criatividade e com as técnicas de demonstrações. Por exemplo, para a ∈ R é possível mostrar usando simples técnicas de demonstrações que 4a2 - a4 ≤ 4.
Se x, y, z são números reais e
então um
possível valor para x + y + z é
Provas
Provas
Provas
"Todas as atividades escolares realizam-se através de projetos, sem necessidade de uma organização especial."
Kilpatrick (1871- 1965)
“Valorização do trabalho e da atividade em grupo.”
Celestian Freinet (1896-1966)
“A escola centrada no aluno, e não no professor, preparando-o para viver em sociedade”.
Ovide Decroly (1871-1932)
Admite-se o conjunto das citações dos pensadores acima como importante base de suporte para
Provas
Provas
Provas
Caderno Container