Magna Concursos

Foram encontradas 50 questões.

2009283 Ano: 2020
Disciplina: Matemática
Banca: NUCEPE
Orgão: Pref. Timon-MA
Seu Antunes ganhou um prêmio em dinheiro em um jogo e pretende dividi-lo entre seus filhos e netos. Se os quatro netos não tivessem sido incluídos, cada filho teria recebido R$ 2.800,00 a mais. Porém, se tivesse incluído a esposa no rateio, cada filho e neto teriam recebido R$ 200,00 a menos. Quantos são os filhos do seu Antunes?
 

Provas

Questão presente nas seguintes provas
2009282 Ano: 2020
Disciplina: Matemática
Banca: NUCEPE
Orgão: Pref. Timon-MA
Uma pirâmide de 15 cm de altura tem por base um hexágono regular. Um plano paralelo à base secciona essa pirâmide a 5 cm do vértice, determinando na pirâmide uma seção de área 20 cm2 . Qual o volume do tronco de pirâmide obtido?
 

Provas

Questão presente nas seguintes provas
2009281 Ano: 2020
Disciplina: Matemática
Banca: NUCEPE
Orgão: Pref. Timon-MA
Paula, moradora de São Luís, estava muito atarefada nas proximidades do Natal, mas não queria deixar de enviar 4 cartões para 4 amigas que moram em Timon. Escolheu os cartões de acordo com o gosto de cada amiga, sobrescritou os envelopes, porém não prestou atenção quando envelopou os cartões. Qual a probabilidade de Paula ter mandado todos os cartões para endereços errados?
 

Provas

Questão presente nas seguintes provas
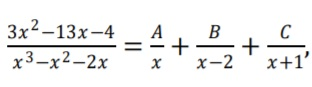
2009280 Ano: 2020
Disciplina: Matemática
Banca: NUCEPE
Orgão: Pref. Timon-MA
Se x ≠ 0, x ≠ -1, x ≠ 2 e enunciado 361503-1 então A -Bc é igual a
 

Provas

Questão presente nas seguintes provas
2009279 Ano: 2020
Disciplina: Matemática
Banca: NUCEPE
Orgão: Pref. Timon-MA
Paulo deseja construir um galpão retangular num terreno quadrado, de 40 m de lado. O galpão deve ter perímetro de 120 metros e área máxima. Qual a área que sobra do terreno, após a construção do galpão?
 

Provas

Questão presente nas seguintes provas
2009278 Ano: 2020
Disciplina: Matemática
Banca: NUCEPE
Orgão: Pref. Timon-MA
Quantas raízes inteiras tem a equação x6 -7x4 + 14x2 - 8 = 0 ?
 

Provas

Questão presente nas seguintes provas
2009277 Ano: 2020
Disciplina: Matemática
Banca: NUCEPE
Orgão: Pref. Timon-MA
A geometria plana estuda o comportamento de estruturas no plano, a partir de conceitos básicos primitivos, como ponto, reta e plano. Estuda o conceito e a construção de figuras planas como quadriláteros, triângulos, círculos, suas propriedades, formas, tamanhos e o estudo de suas áreas e perímetro.
Sobre as propriedades de alguns tópicos da geometria plana, assinale a alternativa INCORRETA
 

Provas

Questão presente nas seguintes provas
2009276 Ano: 2020
Disciplina: Matemática
Banca: NUCEPE
Orgão: Pref. Timon-MA
Em certa papelaria, 7 cadernos, 2 pastas, 12 canetas e 17 lápis custam juntos R$ 156,00. Mas, 4 cadernos, 1 pasta, 7 canetas e 10 lápis custam R$ 89,00. Marcos comprou, nessa papelaria, 1 caderno, 1 pasta, 1 caneta e 1 lápis e teve um desconto de 10%. Quanto Marcos pagou?
 

Provas

Questão presente nas seguintes provas
2009275 Ano: 2020
Disciplina: Matemática
Banca: NUCEPE
Orgão: Pref. Timon-MA
Se ab = 8 e a2b + ab2 + a + b = 90, então qual o valor de a3 + b3?
 

Provas

Questão presente nas seguintes provas
2009274 Ano: 2020
Disciplina: Matemática
Banca: NUCEPE
Orgão: Pref. Timon-MA
Os números terminados em 1, 3, 5, 7 e 9 são chamados de ímpares. Todo número ímpar, quando dividido por 2, deixa resto igual a 1. Os números terminados em 0, 2, 4, 6 e 8 são chamados de pares. Os números pares, quando divididos por 2, deixam resto 0. Quantos números pares de algarismos distintos existem entre 1.000 e 20.000?
 

Provas

Questão presente nas seguintes provas