Foram encontradas 584 questões.
Disciplina: Atualidades e Conhecimentos Gerais
Banca: MULT-SAI
Orgão: Pref. Tenente Laurentino Cruz-RN
A festa do Padroeiro de Tenente Laurentino Cruz é comemorada no mês de:
Provas
Disciplina: Matemática
Banca: MULT-SAI
Orgão: Pref. Tenente Laurentino Cruz-RN
A equação
tem:
Provas
Disciplina: Matemática
Banca: MULT-SAI
Orgão: Pref. Tenente Laurentino Cruz-RN
Sabendo-se que 1,098 32 é aproximadamente igual a 20. Qual dos valores abaixo está mais próximo do número:
5 3 . (1,098) 96 ?Provas
Disciplina: Matemática
Banca: MULT-SAI
Orgão: Pref. Tenente Laurentino Cruz-RN
- GeometriaGeometria AnalíticaCircunferências
- GeometriaGeometria PlanaTriângulosClassificação dos Triângulos
Um círculo de área igual a 78,5 cm2, tem o seu raio igual ao lado de um triângulo eqüilátero, cuja área em cm2 equivale:
Provas
Disciplina: Matemática
Banca: MULT-SAI
Orgão: Pref. Tenente Laurentino Cruz-RN
- GeometriaGeometria PlanaTriângulosCongruência e Semelhança dos Triângulos
- GeometriaGeometria PlanaTriângulosTriângulos Retângulos
A sombra de um prédio num terreno plano, numa determinada hora do dia, mede 20m. Nesse mesmo instante, próximo ao prédio, a sombra de uma escada de altura 6m, mede 4m. A altura do prédio, em metros, é:
Provas
Disciplina: Matemática Financeira
Banca: MULT-SAI
Orgão: Pref. Tenente Laurentino Cruz-RN
0,04% de 10.050 é equivalente a:
Provas
Disciplina: Matemática
Banca: MULT-SAI
Orgão: Pref. Tenente Laurentino Cruz-RN
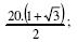
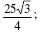
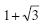
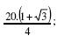
Num triângulo retângulo, a hipotenusa mede 20 e um dos ângulos agudos mede 30º. A soma das medidas dos catetos vale:
Provas
Disciplina: Matemática
Banca: MULT-SAI
Orgão: Pref. Tenente Laurentino Cruz-RN
"Popó" possui dinheiro suficiente para comprar uma televisão de R$ 1.200,00, e ainda lhe sobram
da quantia inicial. O valor que "Popó" possuía inicialmente era de:
Provas
Disciplina: Português
Banca: MULT-SAI
Orgão: Pref. Tenente Laurentino Cruz-RN
Leia, com atenção, o texto abaixo para responder às questões propostas.

No período, o termo "espontâneas" exerce a função morfossintática de:
Provas
Disciplina: Português
Banca: MULT-SAI
Orgão: Pref. Tenente Laurentino Cruz-RN
Leia, com atenção, o texto abaixo para responder às questões propostas.

Observe o período abaixo, transcrito do texto, para responder às questões 6 e 7.
"As opiniões da rua são espontâneas e emocionadas, algumas talvez não resistissem a uma reflexão." A primeira oração do período apresenta:Provas
Caderno Container