Magna Concursos

Foram encontradas 340 questões.

1163012 Ano: 2019
Disciplina: Direito Administrativo
Banca: Excelência
Orgão: Pref. Taubaté-SP
Provas:

O princípio da _________________ nada mais é que o clássico princípio da finalidade, o qual impõe ao administrador público que só pratique o ato para o seu fim legal. E o fim legal é, unicamente, aquele que a norma de Direito indica, expressa ou virtualmente, como objetivo do ato, de forma impessoal.

Assinale a alternativa que completa, corretamente, a lacuna.

 

Provas

Questão presente nas seguintes provas
1163011 Ano: 2019
Disciplina: Administração Geral
Banca: Excelência
Orgão: Pref. Taubaté-SP
Provas:

As falhas ocorrem em operações por diversas razões, algumas são resultadas direto dos bens ou serviços fornecidos para a produção, o método mais comum para melhorar a confiança da produção é fazer a manutenção das instalações físicas de forma planejada e sistemática. Como é denominada a manutenção que tem como objetivo monitorar, minuciosamente, as instalações para tentar predizer quando a parada pode ocorrer e antecipá-la por meio dos reparos na instalação?

 

Provas

Questão presente nas seguintes provas
1163010 Ano: 2019
Disciplina: Administração Geral
Banca: Excelência
Orgão: Pref. Taubaté-SP
Provas:

Sistema de Produção é um conjunto de atividades e operações inter-relacionadas envolvidas na produção de bens ou serviços a partir do uso de recursos para mudar o estado ou condição de algo para produzir saídas/resultados. Os sistemas de produção são agrupados em diferentes categorias. Como é denominado o sistema onde a produção é feita em lotes e terminando-se a fabricação do lote de um produto, outros produtos tomam o seu lugar nas máquinas?

 

Provas

Questão presente nas seguintes provas
1163009 Ano: 2019
Disciplina: Matemática
Banca: Excelência
Orgão: Pref. Taubaté-SP

Considere os conjuntos a seguir:

Enunciado 1163009-1, Enunciado 1163009-2 e Enunciado 1163009-3.

Defina por listagem AB.

 

Provas

Questão presente nas seguintes provas
1163008 Ano: 2019
Disciplina: Matemática
Banca: Excelência
Orgão: Pref. Taubaté-SP

Se dividirmos 54 em 3 partes proporcionais a 3, 6 e 9, determine a menor parte.

 

Provas

Questão presente nas seguintes provas
1163007 Ano: 2019
Disciplina: Matemática
Banca: Excelência
Orgão: Pref. Taubaté-SP

O relógio da minha casa adianta 4 horas por dia. Se ele for acertado ao meio dia de hoje, calcule quantos dias passarão para que esteja certo novamente.

 

Provas

Questão presente nas seguintes provas
1163006 Ano: 2019
Disciplina: Matemática
Banca: Excelência
Orgão: Pref. Taubaté-SP

Efetue:

Enunciado 1163006-1

 

Provas

Questão presente nas seguintes provas
1163005 Ano: 2019
Disciplina: Matemática
Banca: Excelência
Orgão: Pref. Taubaté-SP

Determine o valor racional para o qual a fração Enunciado 1163005-1 NÃO está bem definida.

 

Provas

Questão presente nas seguintes provas
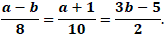
1163003 Ano: 2019
Disciplina: Matemática
Banca: Excelência
Orgão: Pref. Taubaté-SP

Considere

Enunciado 1163003-1

Determine Enunciado 1163003-2

 

Provas

Questão presente nas seguintes provas
1163002 Ano: 2019
Disciplina: Matemática
Banca: Excelência
Orgão: Pref. Taubaté-SP

Reduza ao mesmo denominador comum: Enunciado 1163002-1.

Qual foi o denominador encontrado?

 

Provas

Questão presente nas seguintes provas