Magna Concursos

Foram encontradas 700 questões.

3991458 Ano: 2025
Disciplina: Matemática
Banca: UECE
Orgão: Pref. Tauá-CE
A solução da equação logarítmica logx (-2x + 35) = 2 corresponde ao número de livros que serão dispostos em uma estante. A quantidade de maneiras diferentes de organizar esses livros é igual a
 

Provas

Questão presente nas seguintes provas
3991457 Ano: 2025
Disciplina: Matemática
Banca: UECE
Orgão: Pref. Tauá-CE
O zero da função quadrática g(x) = x 2 − 5x − 150 representa a quantidade de camisetas que Rafael tem para vender em sua loja. Cada camiseta custa R$ 20,00. O valor total que Rafael receberá pela venda de todo o estoque de camisetas é
 

Provas

Questão presente nas seguintes provas
3991456 Ano: 2025
Disciplina: Matemática
Banca: UECE
Orgão: Pref. Tauá-CE
Em uma cidade de um país europeu, o número de usuários de uma plataforma de streaming de vídeo cresce exponencialmente, de acordo com a função G(t) = G0⋅1,5kt , em que G(t) representa o número de usuários no tempo t (em dias), G0 é o número de usuários no início da observação (t = 0) e k é uma constante positiva. Sabendo-se que, em 7 dias, o número de usuários dobrou, é correto afirmar que o tempo necessário, a partir de t = 0, para que o número de usuários seja 8 vezes o número inicial é de aproximadamente

log2 ≃ 0,3 log3 ≃ 0,5
 

Provas

Questão presente nas seguintes provas
3991455 Ano: 2025
Disciplina: Matemática Financeira
Banca: UECE
Orgão: Pref. Tauá-CE
Leonardo fez uma aplicação financeira no valor de R$ 7.000,00 em um fundo de investimentos que oferece juros compostos. A taxa de juros anual é de 15% ao ano e ele pretende deixar o dinheiro aplicado por 4 anos. O montante acumulado ao final desse período é, aproximadamente, de
 

Provas

Questão presente nas seguintes provas
3991454 Ano: 2025
Disciplina: Matemática Financeira
Banca: UECE
Orgão: Pref. Tauá-CE
Eduardo deseja comprar uma bicicleta cujo preço é R$ 1.500,00 para pagamento dentro de 90 dias. Se ele conseguir aplicar seu dinheiro a juros simples, à taxa de 2% ao mês, o valor que ele deve aplicar no ato da compra para ter o valor necessário ao final do prazo de 90 dias é, aproximadamente, de
 

Provas

Questão presente nas seguintes provas
3991453 Ano: 2025
Disciplina: Matemática
Banca: UECE
Orgão: Pref. Tauá-CE
Uma empresa possui um orçamento de R$ 4.860,00 para adquirir tecidos para confeccionar uniformes. O custo do tecido é de R$ 12,00 por metro quadrado. No entanto, o processo de compra envolve um custo adicional de 5% sobre o preço total do tecido para cobrir despesas administrativas. Sendo assim, o custo final por metro quadrado do tecido, considerando esse custo adicional, é de
 

Provas

Questão presente nas seguintes provas
3991452 Ano: 2025
Disciplina: Matemática
Banca: UECE
Orgão: Pref. Tauá-CE
Os gestores de uma escola decidiram construir um parque de recreação com o formato de um quadrado no terreno de sua sede. Após discutir com o engenheiro responsável, a diretoria optou por fazer cada lado do parque com um comprimento que é a raiz quadrada de 400 metros. Além disso, o parque será dividido em pequenos quadrados de 4 metros de lado, EM QUE serão posicionadas as marcações para jogos, brincadeiras e outras estruturas necessárias. Dessa forma, a quantidade de quadrados pequenos que a escola pode fazer no parque é igual a
 

Provas

Questão presente nas seguintes provas
3991451 Ano: 2025
Disciplina: Matemática
Banca: UECE
Orgão: Pref. Tauá-CE
Em uma loja de eletrônicos, há três tipos de produtos para venda: notebooks, tablets e smartphones. Sabe-se que 80 unidades são notebooks, 220 unidades não são tablets e 50% dos produtos são smartphones. Assim, é correto afirmar que a quantidade de produtos disponíveis para venda nessa loja é
 

Provas

Questão presente nas seguintes provas
3991450 Ano: 2025
Disciplina: Raciocínio Lógico
Banca: UECE
Orgão: Pref. Tauá-CE
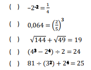
Considere os seguintes itens e assinale com V o que for verdadeiro e com F o que for falso. 

Enunciado 4485621-1

A sequência correta, de cima para baixo, é:
 

Provas

Questão presente nas seguintes provas
3991449 Ano: 2025
Disciplina: Português
Banca: UECE
Orgão: Pref. Tauá-CE
Tradicionalmente, o período pode ser classificado como
 

Provas

Questão presente nas seguintes provas