Foram encontradas 1.077 questões.
Três latas de massa de tomate mais uma lata de atum custam R$ 6,00. Duas latas de massa de tomate mais duas latas de atum (todas iguais às anteriores) custam R$ 6,80. Então, o preço de 4 latas de massa de tomate mais uma de atum será:
Provas
- GeometriaGeometria PlanaTriângulosTriângulos RetângulosTeorema de Pitágoras
- GeometriaGeometria PlanaÁreas e Perímetros
Na figura, os quadrados menores têm, cada um, 8 cm² de área. O comprimento do lado AB é:

Provas
Oito quadrados iguais são colocados lado a lado, formando um retângulo cujo perímetro é 540 cm. A área de cada quadrado que forma o retângulo é:
Provas
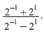
Efetuando-se
obtém-se:
Provas
Na fórmula F = x³ –2x² + 5x + 2, se x = –1/2, então o valor de F – 1, é
Provas
Os três quintos de um número, somados com dezesseis, resultam no próprio número, que é
Provas
- Conceitos FundamentaisGrandezas Diretamente e Inversamente Proporcionais
- Conceitos FundamentaisPorcentagem
Um feirante vende meia dúzia de maçãs por R$ 5,00. Um freguês pede 9 maçãs. O feirante cobra R$ 8,00 e o freguês diz que não quer, alegando que o preço cobrado deveria ser proporcional à quantidade. De acordo com o freguês, o preço cobrado pelas 9 maçãs deveria ser
Provas
Examine a tabela, que resultou de uma pesquisa de opinião a respeito do serviço de fiscalização prestado pela prefeitura.

O percentual de pessoas que representam o "não sei" é:
Provas
Um vigilante sanitário deveria visitar todos os terrenos baldios constantes em sua lista. Pela manhã, ele fez 1/3 das visitas programadas, à tarde, conseguiu fazer 3/5 das restantes. A fração que representa o serviço que ainda precisa ser feito é:
Provas
A alternativa em que a regência verbal está correta, de acordo com a norma culta, é:
Provas
Caderno Container